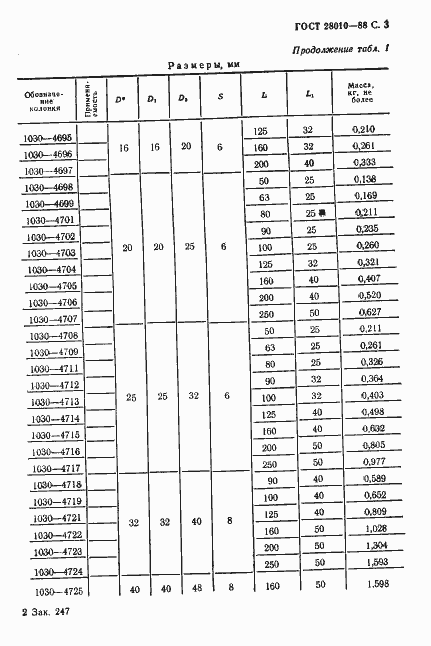
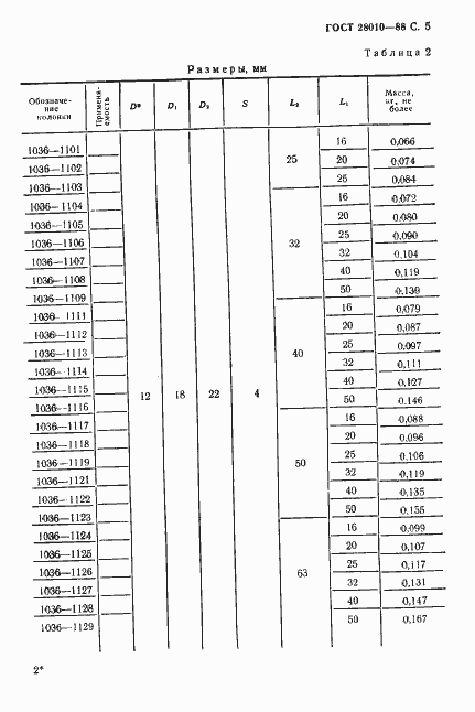
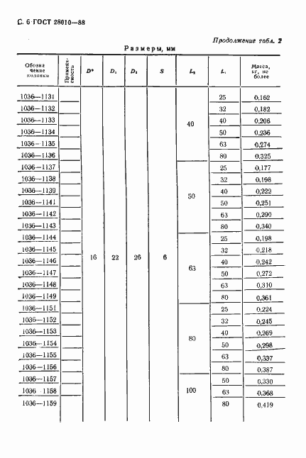
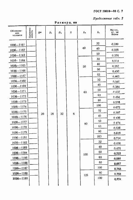
ГОСТ 28010-88 Колонки направляющие прямые и с заплечиками и колонки установочные направляющие с заплечиками для литейных форм
ГОСТ
Скачать ГОСТ в PDF или DOC бесплатно
Основная информация
Обозначение:
ГОСТ 28010-88
Статус:
Действует
Тип:
ГОСТ
Название русское:
Колонки направляющие прямые и с заплечиками и колонки установочные направляющие с заплечиками для литейных форм
Название английское:
Mould guide pillars, straight and shouldered, locating guide pillars, shouldered
Даты и сроки
Дата издания:
04-04-89
Дата введения в действие:
06-30-90
Дата завершения срока действия:
-
Применение и описание
Область и условия применения:
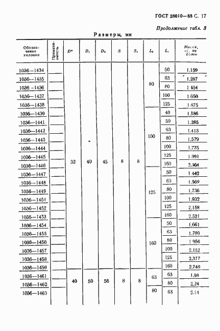
Настоящий стандарт распространяется на колонки направляющие прямые и с заплечиками и колонки установочные направляющие с заплечиками, предназначенные для использования в литейных формах
Связи и замены
Заменяющий:
-
Описание стандарта
ГОСТ 28010-88 Колонки направляющие прямые и с заплечиками и колонки установочные направляющие с заплечиками для литейных форм
Страницы стандарта





















