ГОСТ 2839-80 Ключи гаечные с открытым зевом двусторонние. Конструкция и размеры
ГОСТ
Скачать ГОСТ в PDF или DOC бесплатно
Основная информация
Обозначение:
ГОСТ 2839-80
Статус:
Действует
Тип:
ГОСТ
Название русское:
Ключи гаечные с открытым зевом двусторонние. Конструкция и размеры
Название английское:
Double-ended open spanners. Construction and dimensions
Даты и сроки
Дата издания:
09-01-86
Дата введения в действие:
01-01-81
Дата завершения срока действия:
-
Применение и описание
Область и условия применения:
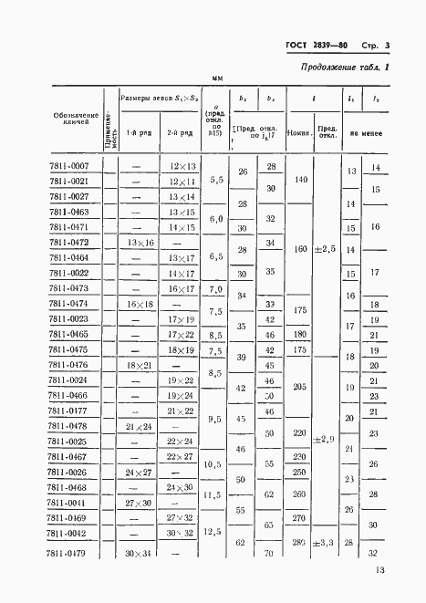
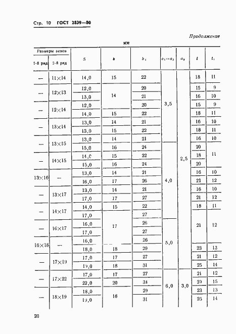
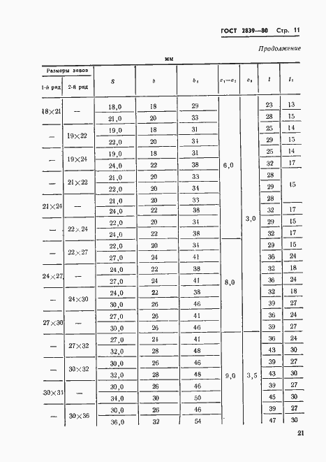
Настоящий стандарт распространяется на гаечные ключи с открытыми зевами размерами от 2,5х3,2 до 75х80 мм, изготовляемые для нужд народного хозяйства и для экспорта
Связи и замены
Заменяющий:
-
Взамен:
ГОСТ 2839-71
Изменения и переиздания
Список изменений:
№0 от (рег. ) «Дата введения перенесена» №1 от (рег. ) «Срок действия продлен» №2 от (рег. ) «Срок действия продлен»
Описание стандарта
ГОСТ 2839-80 Ключи гаечные с открытым зевом двусторонние. Конструкция и размеры
Страницы стандарта















Приложение №3: Поправка к ГОСТ 2839-80 Обозначение: Поправка к ГОСТ 2839-80 Дата введения в действие: 10.04.2007
