ГОСТ 2906-80 Ключи гаечные кольцевые двусторонние коленчатые. Конструкция и размеры
ГОСТ
Скачать ГОСТ в PDF или DOC бесплатно
Основная информация
Обозначение:
ГОСТ 2906-80
Статус:
Действует
Тип:
ГОСТ
Название русское:
Ключи гаечные кольцевые двусторонние коленчатые. Конструкция и размеры
Название английское:
Double-ended bent ring spanners. Construction and dimensions
Даты и сроки
Дата издания:
09-01-86
Дата введения в действие:
01-01-81
Дата завершения срока действия:
-
Применение и описание
Область и условия применения:
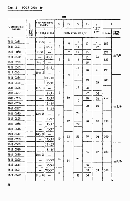
Настоящий стандарт распространяется на гаечные кольцевые двусторонние коленчатые ключи с размерами зевов от 5,5х7 до 50х55 мм, изготовляемые для нужд народного хозяйства и для экспорта
Связи и замены
Заменяющий:
-
Взамен:
ГОСТ 2906-71
Изменения и переиздания
Список изменений:
№1 от (рег. ) «Срок действия продлен»
Описание стандарта
ГОСТ 2906-80 Ключи гаечные кольцевые двусторонние коленчатые. Конструкция и размеры
Страницы стандарта






