ГОСТ Р 57981-2017 Ключи для винтов с внутренним шестигранником. Технические условия
ГОСТ Р
Скачать ГОСТ в PDF или DOC бесплатно
Основная информация
Обозначение:
ГОСТ Р 57981-2017
Статус:
Действует
Тип:
ГОСТ Р
Название русское:
Ключи для винтов с внутренним шестигранником. Технические условия
Название английское:
Hexagon socket screw keys. Specifications
Даты и сроки
Дата издания:
07-31-18
Дата введения в действие:
01-01-19
Дата завершения срока действия:
-
Применение и описание
Область и условия применения:
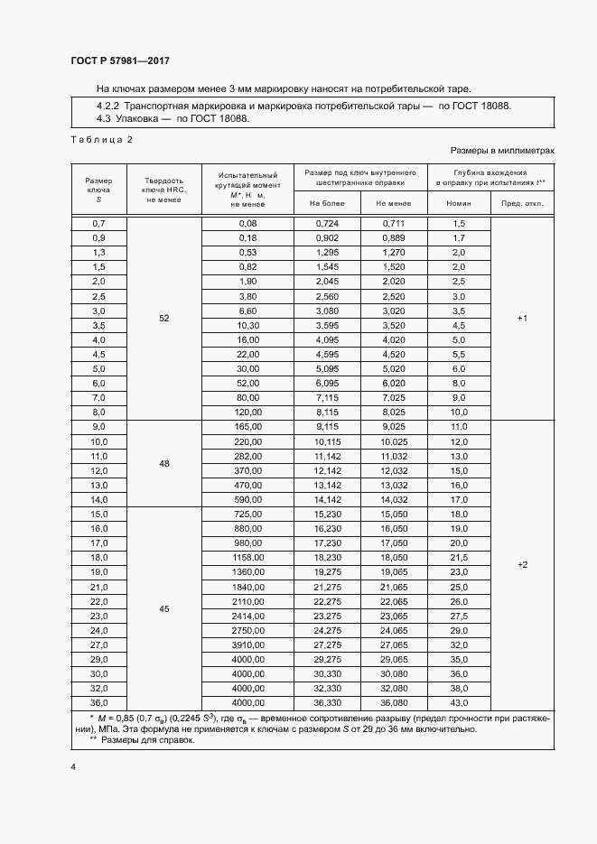
Настоящий стандарт распространяется на ключи для винтов с внутренним шестигранником с обозначением 4 1 03 01 0 в соответствии с ГОСТ ISO 1703
Связи и замены
Заменяющий:
-
Описание стандарта
ГОСТ Р 57981-2017 Ключи для винтов с внутренним шестигранником. Технические условия
Страницы стандарта













