ГОСТ 33432-2015 Безопасность функциональная. Политика, программа обеспечения безопасности. Доказательство безопасности объектов железнодорожного транспорта
ГОСТ
Скачать ГОСТ в PDF или DOC бесплатно
Основная информация
Обозначение:
ГОСТ 33432-2015
Статус:
Действует
Тип:
ГОСТ
Название русское:
Безопасность функциональная. Политика, программа обеспечения безопасности. Доказательство безопасности объектов железнодорожного транспорта
Название английское:
Functional safety. Policy and programme of safety provision. Safety proof of the railway objects
Даты и сроки
Дата регистрации:
08-27-15
Дата издания:
09-30-19
Дата введения в действие:
09-01-16
Дата завершения срока действия:
-
Применение и описание
Область и условия применения:
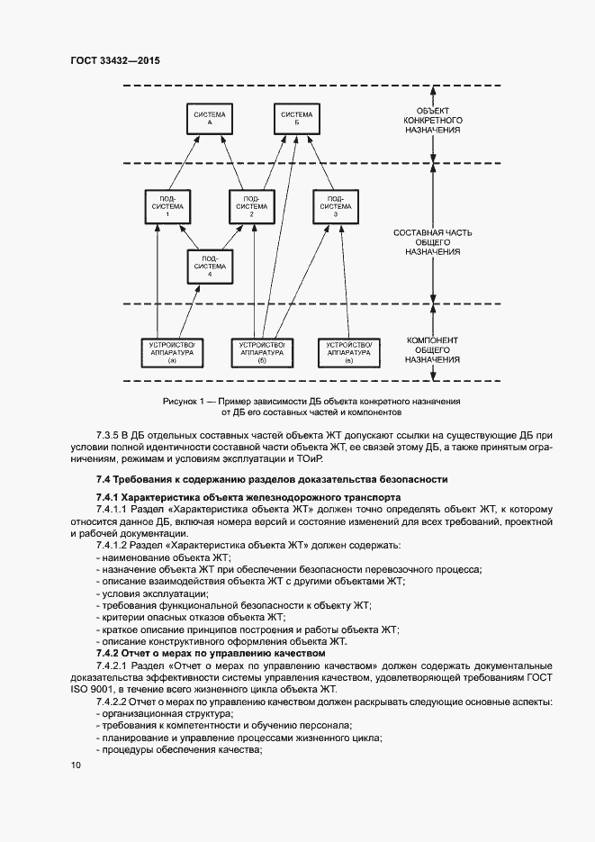
Настоящий стандарт определяет назначение документов «Политика обеспечения безопасности», «Программа обеспечения безопасности» и «Доказательство безопасности», устанавливает основные требования к структуре и содержанию этих документов, а также порядок их разработки
Связи и замены
Заменяющий:
-
Описание стандарта
ГОСТ 33432-2015 Безопасность функциональная. Политика, программа обеспечения безопасности. Доказательство безопасности объектов железнодорожного транспорта
Страницы стандарта




























Приложение №1: Поправка к ГОСТ 33432-2015 Обозначение: Поправка к ГОСТ 33432-2015 Дата введения в действие: 25.03.2019
