ГОСТ Р ИСО 22826-2012 Испытания разрушающие сварных швов в материалах с металлическими свойствами. Испытание на прочность узких сварных соединений, полученных лазерной сваркой и электронно-лучевой сваркой (Определение твердости по Виккерсу и Кнупу)
ГОСТ Р ИСО
Скачать ГОСТ в PDF или DOC бесплатно
Основная информация
Обозначение:
ГОСТ Р ИСО 22826-2012
Статус:
Действует
Тип:
ГОСТ Р ИСО
Название русское:
Испытания разрушающие сварных швов в материалах с металлическими свойствами. Испытание на прочность узких сварных соединений, полученных лазерной сваркой и электронно-лучевой сваркой (Определение твердости по Виккерсу и Кнупу)
Название английское:
Destructive tests on welds in metallic materials. Hardness testing of narrow joints welded by laser and electron beam (Vickers and Knoop hardness test)
Даты и сроки
Дата издания:
04-28-20
Дата введения в действие:
01-01-14
Дата завершения срока действия:
-
Применение и описание
Область и условия применения:
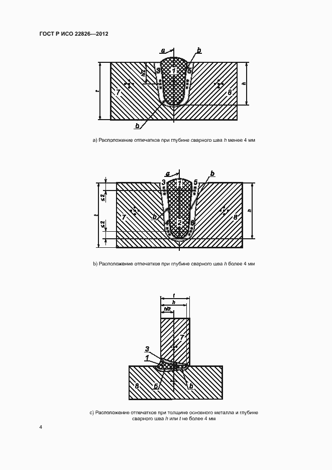
Настоящий стандарт устанавливает требования к определению твердости поперечных сечений узких сварных соединений на металлических материалах, полученных лазерной и электроннолучевой сваркой. Настоящий стандарт распространяется на методы измерения твердости по шкалам Виккерса и Кнупа в соответствии с требованиями ИСО 6507-1 и ИСО 4545 при нагрузках от 0,098 до 98 Н (от HV 0,01 до HV10) для испытания твердости по Виккерсу и при нагрузке до 9,8 Н (только до HK 1) для испытания твердости по Кнупу. Настоящий стандарт распространяется на сварные швы, сделаные с/без присадочной проволоки. Настоящий стандарт не применим к испытаниям сварных соединений, полученных c помощью гибридной лазерно-дуговой сварки
Связи и замены
Заменяющий:
-
Описание стандарта
ГОСТ Р ИСО 22826-2012 Испытания разрушающие сварных швов в материалах с металлическими свойствами. Испытание на прочность узких сварных соединений, полученных лазерной сваркой и электронно-лучевой сваркой (Определение твердости по Виккерсу и Кнупу)
Страницы стандарта


















