ГОСТ Р ИСО 3580-2009 Материалы сварочные. Электроды покрытые для ручной дуговой сварки жаропрочных сталей. Классификация
ГОСТ Р ИСО
Скачать ГОСТ в PDF или DOC бесплатно
Основная информация
Обозначение:
ГОСТ Р ИСО 3580-2009
Статус:
Заменен
Тип:
ГОСТ Р ИСО
Название русское:
Материалы сварочные. Электроды покрытые для ручной дуговой сварки жаропрочных сталей. Классификация
Название английское:
Welding consumables. Covered electrodes for manual metal arс welding of creep-resisting steels. Classification
Даты и сроки
Дата издания:
05-20-20
Дата введения в действие:
01-01-11
Дата завершения срока действия:
12-01-20
Применение и описание
Область и условия применения:
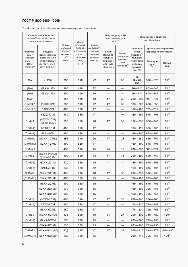
Настоящий стандарт определяет требования к классификации покрытых электродов, основанной на испытаниях термически обработанного металла шва, для ручной дуговой сварки ферритных и мартенситных жаропрочных и низколегированных сталей, работающих при повышенной температуре. Настоящий стандарт содержит технические требования для классификации, использующей методы, основанные на химическом составе металла шва с требованиями по пределу текучести металла шва и средней энергии удара 47 Дж (метод А) и по пределу прочности при растяжении и химическому составу металла шва (метод B)
Связи и замены
Заменяющий:
ГОСТ Р ИСО 3580-2020
Описание стандарта
ГОСТ Р ИСО 3580-2009 Материалы сварочные. Электроды покрытые для ручной дуговой сварки жаропрочных сталей. Классификация
Страницы стандарта























