ГОСТ ISO 22826-2017 Испытания разрушающие сварных швов металлических материалов. Испытания на твердость узких сварных соединений, выполненных лазерной и электронно-лучевой сваркой (определение твердости по Виккерсу и Кнупу)
ГОСТ ИСО
Скачать ГОСТ в PDF или DOC бесплатно
Основная информация
Обозначение:
ГОСТ ISO 22826-2017
Статус:
Действует
Тип:
ГОСТ ИСО
Название русское:
Испытания разрушающие сварных швов металлических материалов. Испытания на твердость узких сварных соединений, выполненных лазерной и электронно-лучевой сваркой (определение твердости по Виккерсу и Кнупу)
Название английское:
Destructive tests on welds in metallic materials. Hardness testing of narrow joints welded by laser and electron beam (Vickers and Knoop hardness tests)
Даты и сроки
Дата регистрации:
11-30-17
Дата издания:
11-16-18
Дата введения в действие:
03-01-19
Дата завершения срока действия:
-
Применение и описание
Область и условия применения:
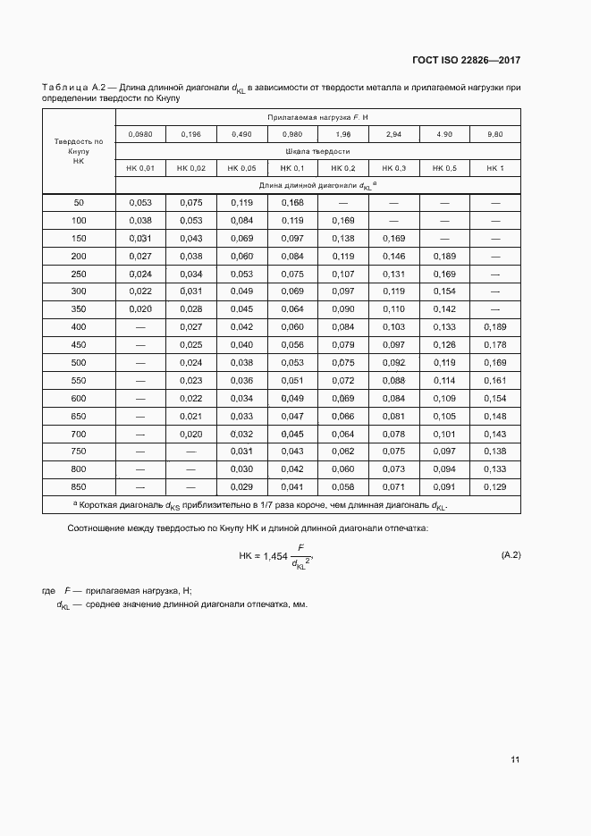
Настоящий стандарт устанавливает специальные требования к определению твердости поперечных сечений узких сварных соединений металлических материалов, выполненных лазерной и электронно-лучевой сваркой. Настоящий стандарт распространяется на методы измерения твердости по шкалам Виккерса и Кнупа в соответствии с ISO 6507-1 и ISO 4545 при нагрузках от 0,098 до 98 Н (от HV 0,01 до HV 10) для испытания твердости по Виккерсу и при нагрузке до 9,8 Н (только до НК 1) для испытания твердости по Кнупу. Настоящий стандарт распространяется на сварные швы, выполненные с присадочной проволокой или без присадочной проволоки. Настоящий стандарт не относится к испытаниям сварных соединений, полученных с помощью гибридной лазерно-дуговой сварки. Для определения твердости сечений неузких сварных соединений применяют ISO 9015-1 и ISO 9015-2
Связи и замены
Заменяющий:
-
Описание стандарта
ГОСТ ISO 22826-2017 Испытания разрушающие сварных швов металлических материалов. Испытания на твердость узких сварных соединений, выполненных лазерной и электронно-лучевой сваркой (определение твердости по Виккерсу и Кнупу)
Страницы стандарта



















