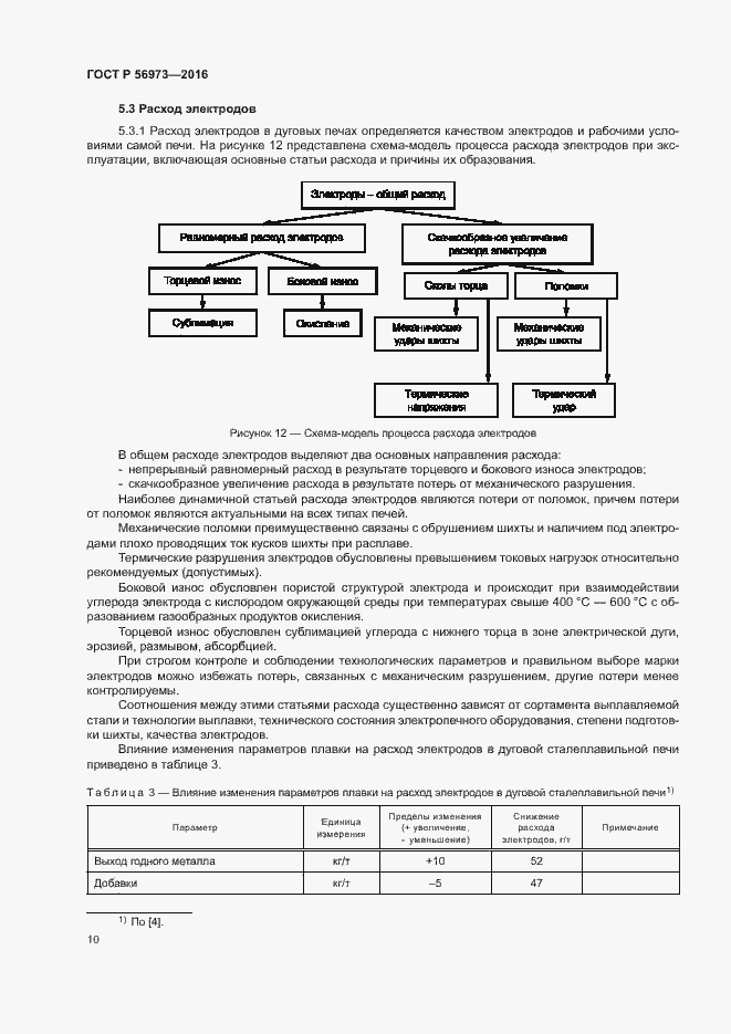
ГОСТ Р 56973-2016 Графитированные электроды для электродуговых печей. Эксплуатация
ГОСТ Р
Скачать ГОСТ в PDF или DOC бесплатно
Основная информация
Обозначение:
ГОСТ Р 56973-2016
Статус:
Действует
Тип:
ГОСТ Р
Название русское:
Графитированные электроды для электродуговых печей. Эксплуатация
Название английское:
Graphite electrodes for electric arc furnaces. Exploitation
Даты и сроки
Дата издания:
06-09-20
Дата введения в действие:
07-01-17
Дата завершения срока действия:
-
Применение и описание
Область и условия применения:
Настоящий стандарт распространяется на графитированные электроды (далее-электроды) для электродуговых печей, используемые при производстве стали и сплавов и устанавливает основные правила при их разгрузке, транспортировании, хранении и эксплуатации
Связи и замены
Заменяющий:
-
Описание стандарта
ГОСТ Р 56973-2016 Графитированные электроды для электродуговых печей. Эксплуатация
Страницы стандарта



















