ГОСТ Р 59232-2020 Единая энергетическая система и изолированно работающие энергосистемы. Релейная защита и автоматика. Автоматическое противоаварийное управление режимами энергосистем. Устройства автоматической частотной разгрузки. Нормы и требования
ГОСТ Р
Скачать ГОСТ в PDF или DOC бесплатно
Основная информация
Обозначение:
ГОСТ Р 59232-2020
Статус:
Действует
Тип:
ГОСТ Р
Название русское:
Единая энергетическая система и изолированно работающие энергосистемы. Релейная защита и автоматика. Автоматическое противоаварийное управление режимами энергосистем. Устройства автоматической частотной разгрузки. Нормы и требования
Название английское:
United power system and isolated power systems. Relay protection and automation. Automatic emergency control of electric power systems. Automatic frequency unloading devices. Norms and requirements
Даты и сроки
Дата издания:
12-09-20
Дата введения в действие:
01-01-21
Дата завершения срока действия:
-
Применение и описание
Область и условия применения:
Настоящий стандарт устанавливает: - основные требования к микропроцессорным устройствам автоматической частотной разгрузки (далее соответственно - АЧР, устройства АЧР), в том числе микропроцессорным устройствам релейной защиты и автоматики (далее - РЗА) с функциями АЧР и частотного автоматического повторного включения, обеспечивающие выполнение АЧР своих функций в электроэнергетической системе; - порядок и методику проведения испытаний устройств АЧР для проверки их соответствия указанным требованиям. Настоящий стандарт распространяется на субъектов оперативно-диспетчерского управления в электроэнергетике, субъектов электроэнергетики и потребителей электрической энергии, в том числе на объектах электроэнергетики и/или энергопринимающих установках которых установлены устройства АЧР, организации, осуществляющие деятельность по разработке, изготовлению, наладке, эксплуатации устройств и комплексов РЗА, сетевые и иные организации, осуществляющие подключение нагрузки потребителей под действие АЧР, проектные и научно-исследовательские организации. Настоящий стандарт предназначен для применения при подготовке, согласовании и выполнении технических условий на технологическое присоединение объектов электроэнергетики и энергопринимающих установок потребителей электрической энергии к электрическим сетям, строительстве, реконструкции, модернизации и техническом перевооружении объектов электроэнергетики, создании (модернизации) устройств и комплексов противоаварийной автоматики
Связи и замены
Заменяющий:
-
Описание стандарта
ГОСТ Р 59232-2020 Единая энергетическая система и изолированно работающие энергосистемы. Релейная защита и автоматика. Автоматическое противоаварийное управление режимами энергосистем. Устройства автоматической частотной разгрузки. Нормы и требования
Страницы стандарта
























Приложение №1: Изменение №1 к ГОСТ Р 59232-2020 Обозначение: Изменение №1 к ГОСТ Р 59232-2020 Дата введения в действие: 15.12.2024

Приложение №1: Изменение №1 к ГОСТ Р 59232-2020 Обозначение: Изменение №1 к ГОСТ Р 59232-2020 Дата введения в действие: 15.12.2024

Приложение №1: Изменение №1 к ГОСТ Р 59232-2020 Обозначение: Изменение №1 к ГОСТ Р 59232-2020 Дата введения в действие: 15.12.2024

Приложение №1: Изменение №1 к ГОСТ Р 59232-2020 Обозначение: Изменение №1 к ГОСТ Р 59232-2020 Дата введения в действие: 15.12.2024

Приложение №1: Изменение №1 к ГОСТ Р 59232-2020 Обозначение: Изменение №1 к ГОСТ Р 59232-2020 Дата введения в действие: 15.12.2024

Приложение №1: Изменение №1 к ГОСТ Р 59232-2020 Обозначение: Изменение №1 к ГОСТ Р 59232-2020 Дата введения в действие: 15.12.2024

Приложение №1: Изменение №1 к ГОСТ Р 59232-2020 Обозначение: Изменение №1 к ГОСТ Р 59232-2020 Дата введения в действие: 15.12.2024

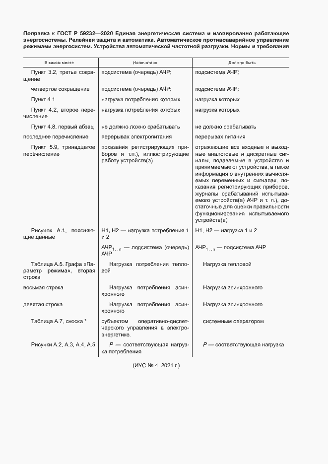
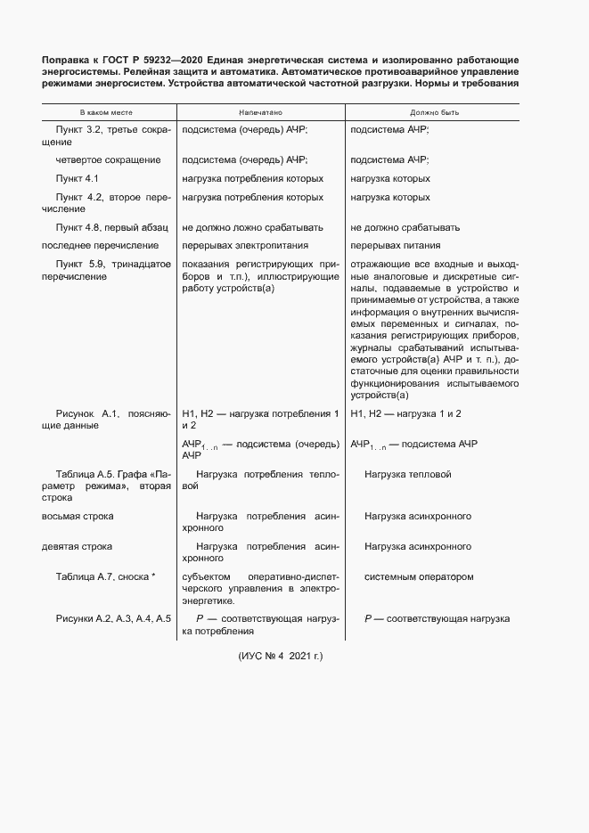
Приложение №2: Поправка к ГОСТ Р 59232-2020 Обозначение: Поправка к ГОСТ Р 59232-2020 Дата введения в действие: 05.02.2021
