ГОСТ 10150-2014 Двигатели внутреннего сгорания поршневые. Общие технические условия
ГОСТ
Скачать ГОСТ в PDF или DOC бесплатно
Основная информация
Обозначение:
ГОСТ 10150-2014
Статус:
Действует
Тип:
ГОСТ
Название русское:
Двигатели внутреннего сгорания поршневые. Общие технические условия
Название английское:
Reciprocating internal combustion engines. General specifications
Даты и сроки
Дата регистрации:
11-14-14
Дата издания:
11-25-15
Дата введения в действие:
01-01-16
Дата завершения срока действия:
-
Применение и описание
Область и условия применения:
Настоящий стандарт распространяется на судовые, тепловозные и промышленные поршневые двигатели внутреннего сгорания, работающие на жидком и/или газообразном топливе, в том числе конвертированные
Связи и замены
Заменяющий:
-
Описание стандарта
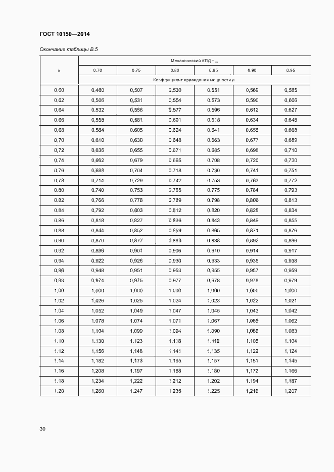
ГОСТ 10150-2014 Двигатели внутреннего сгорания поршневые. Общие технические условия
Страницы стандарта











































Приложение №1: Поправка к ГОСТ 10150-2014 Обозначение: Поправка к ГОСТ 10150-2014 Дата введения в действие: 20.03.2019
