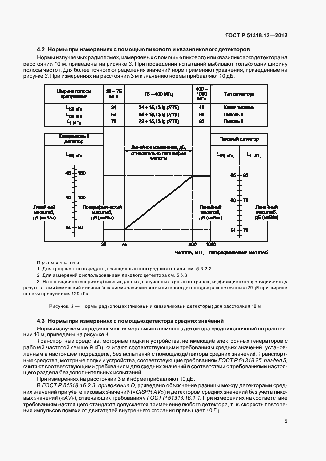
ГОСТ Р 51318.12-2012 Совместимость технических средств электромагнитная. Транспортные средства, моторные лодки и устройства с двигателями внутреннего сгорания. Характеристики индустриальных радиопомех. Нормы и методы измерений для защиты радиоприемных устройств, размещенных вне подвижных средств
ГОСТ Р
Скачать ГОСТ в PDF или DOC бесплатно
Основная информация
Обозначение:
ГОСТ Р 51318.12-2012
Статус:
Действует
Тип:
ГОСТ Р
Название русское:
Совместимость технических средств электромагнитная. Транспортные средства, моторные лодки и устройства с двигателями внутреннего сгорания. Характеристики индустриальных радиопомех. Нормы и методы измерений для защиты радиоприемных устройств, размещенных вне подвижных средств
Название английское:
Electromagnetic compatibility of technical equipment. Vehicles, boats and devices with internal combustion engines. Radio disturbance characteristics. Limits and methods for the protection of off-board receivers
Даты и сроки
Дата издания:
03-11-13
Дата введения в действие:
01-01-13
Дата завершения срока действия:
-
Применение и описание
Область и условия применения:
Нормы, установленные в настоящем стандарте, предназначены для защиты вещательных приемников в полосе частот от 30 до 1000 МГц, применяемых в жилых зонах. Соответствие требованиям настоящего стандарта не может обеспечить адекватную защиту средств радиосвязи новых видов, применяемых в жилых зонах на расстоянии менее 10 м от транспортных средств, моторных лодок или других устройств
Связи и замены
Заменяющий:
-
Взамен:
ГОСТ Р 51318.12-99
Описание стандарта
ГОСТ Р 51318.12-2012 Совместимость технических средств электромагнитная. Транспортные средства, моторные лодки и устройства с двигателями внутреннего сгорания. Характеристики индустриальных радиопомех. Нормы и методы измерений для защиты радиоприемных устройств, размещенных вне подвижных средств
Страницы стандарта









































