ГОСТ Р ИСО 26382-2011 Установки когенераторные. Общие технические требования
ГОСТ Р ИСО
Скачать ГОСТ в PDF или DOC бесплатно
Основная информация
Обозначение:
ГОСТ Р ИСО 26382-2011
Статус:
Действует
Тип:
ГОСТ Р ИСО
Название русское:
Установки когенераторные. Общие технические требования
Название английское:
Cogeneration systems. General technical requirements
Даты и сроки
Дата издания:
02-29-12
Дата введения в действие:
06-01-12
Дата завершения срока действия:
-
Применение и описание
Область и условия применения:
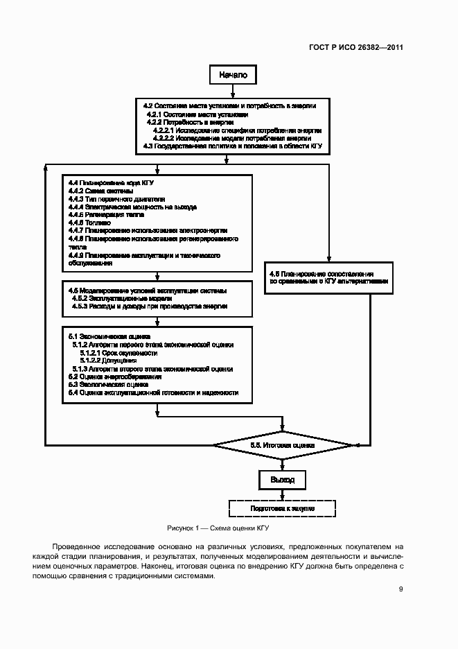
Настоящий стандарт распространяется на когенераторные установки газотурбинных установок. Настоящий стандарт устанавливает аспекты исследования для оценки проекта, оценки когенераторных установок и первичных сведений для закупки когенераторных установок, а также необходимые контрольные показатели в процессе планирования применения когенераторных установок, обеспечивает процедуру достижения удовлетворяющей конфигурации когенераторных установок для каждого проекта и включает подробную схему этапов в процессе развития проекта
Связи и замены
Заменяющий:
-
Описание стандарта
ГОСТ Р ИСО 26382-2011 Установки когенераторные. Общие технические требования
Страницы стандарта























