ГОСТ ISO 19860-2017 Турбины газовые. Сбор данных и требования к системе контроля изменений для газотурбинных установок
ГОСТ ИСО
Скачать ГОСТ в PDF или DOC бесплатно
Основная информация
Обозначение:
ГОСТ ISO 19860-2017
Статус:
Действует
Тип:
ГОСТ ИСО
Название русское:
Турбины газовые. Сбор данных и требования к системе контроля изменений для газотурбинных установок
Название английское:
Gas turbines. Data acquisition and trend monitoring system requirements for gas turbine installations
Даты и сроки
Дата регистрации:
11-30-17
Дата издания:
10-24-18
Дата введения в действие:
06-01-19
Дата завершения срока действия:
-
Применение и описание
Область и условия применения:
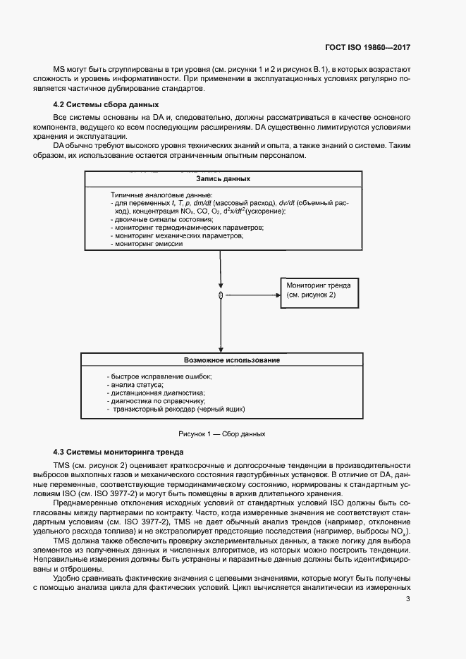
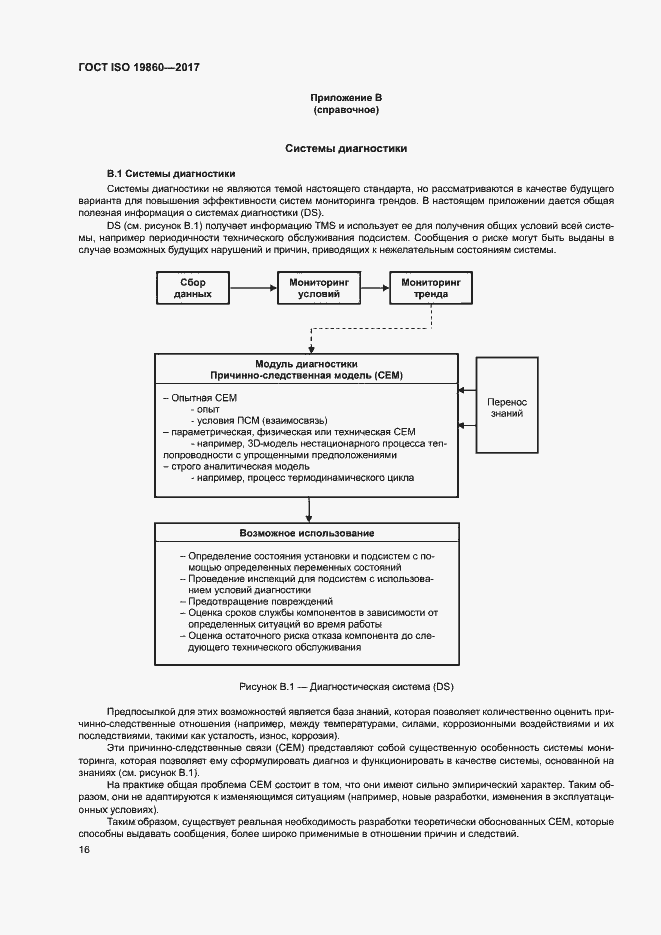
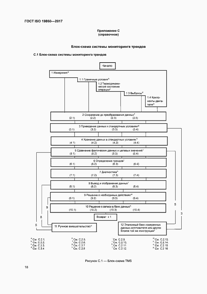
Настоящий стандарт распространяется на сбор данных и требования к системе контроля для газотурбинных установок и связанных с ними систем. Настоящий стандарт классифицирует и определяет системы мониторинга и соответствующие технические термины. Настоящий стандарт устанавливает систему для преобразования и проверки достоверности измеренных величин с целью сравнения различных систем, их особенностей и характеристик
Связи и замены
Заменяющий:
-
Описание стандарта
ГОСТ ISO 19860-2017 Турбины газовые. Сбор данных и требования к системе контроля изменений для газотурбинных установок
Страницы стандарта



























