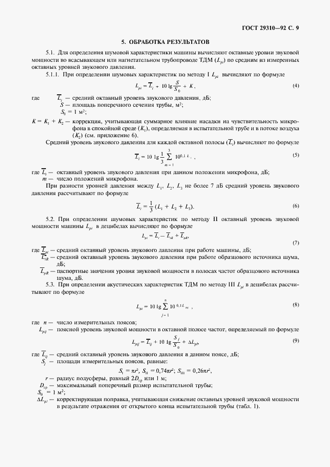
ГОСТ 29310-92 Машины тягодутьевые. Методы акустических испытаний
ГОСТ
Скачать ГОСТ в PDF или DOC бесплатно
Основная информация
Обозначение:
ГОСТ 29310-92
Статус:
Действует
Тип:
ГОСТ
Название русское:
Машины тягодутьевые. Методы акустических испытаний
Название английское:
Draft systems. Acoustic test methods
Даты и сроки
Дата издания:
02-01-04
Дата введения в действие:
01-01-93
Дата завершения срока действия:
-
Применение и описание
Область и условия применения:
Настоящий стандарт распространяется на тягодутьевые машины центробежного и осевого типов с диаметрами рабочих колес от 270 до 5000 мм, частотами от 375 до 3000 мин в ст. минус 1
Связи и замены
Заменяющий:
-
Изменения и переиздания
Список изменений:
№1 от (рег. ) «Срок действия продлен»
Описание стандарта
ГОСТ 29310-92 Машины тягодутьевые. Методы акустических испытаний
Страницы стандарта


















