ГОСТ IEC 62282-3-201-2015 Технологии топливных элементов. Часть 3-201. Стационарные энергоустановки, установки на топливных элементах. Методы испытаний для определения рабочих характеристик систем малой мощности
ГОСТ МЭК
Скачать ГОСТ в PDF или DOC бесплатно
Основная информация
Обозначение:
ГОСТ IEC 62282-3-201-2015
Статус:
Утратил силу в РФ
Тип:
ГОСТ МЭК
Название русское:
Технологии топливных элементов. Часть 3-201. Стационарные энергоустановки, установки на топливных элементах. Методы испытаний для определения рабочих характеристик систем малой мощности
Название английское:
Fuel cell technologies. Part 3-201. Stationary fuel cell power systems. Performance test methods for small fuel cell power systems
Даты и сроки
Дата регистрации:
10-27-15
Дата издания:
09-26-16
Дата введения в действие:
05-01-17
Дата завершения срока действия:
05-31-23
Применение и описание
Область и условия применения:
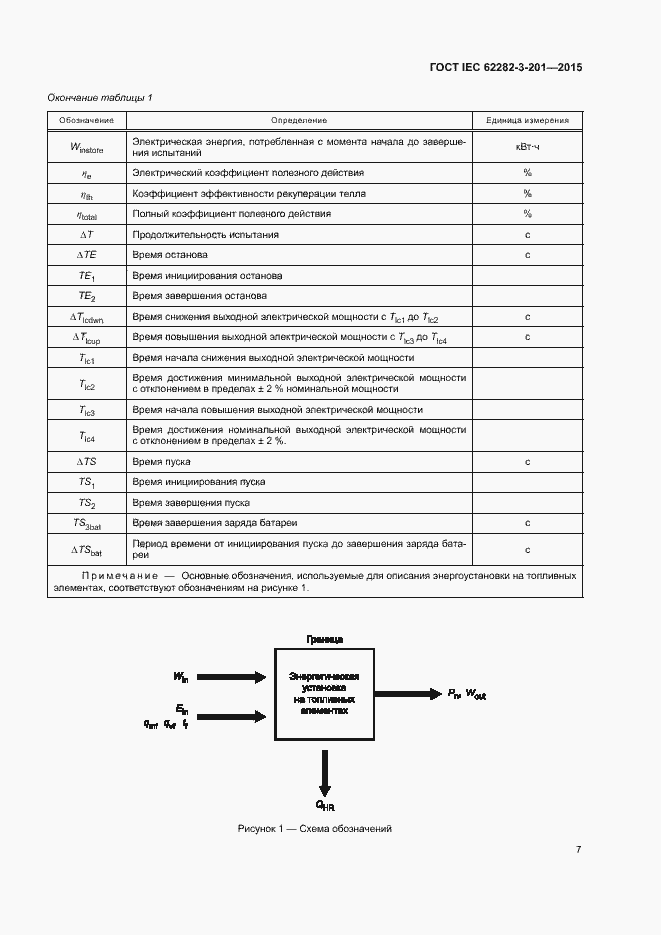
В настоящем стандарте приведены методы испытаний для определения электрических/теплотехнических и экологических характеристик стационарных энергоустановок на топливных элементах малой мощности, которые удовлетворяют следующим критериям: a) номинальная выходная электрическая мощность менее 10 кВт; b) режим генерации: - работа с подключением к сети; - независимо от сети; - автономная работа с однофазным выходным напряжением переменного тока; - трехфазным выходным напряжением переменного тока не более 1000В; - с выходным напряжением постоянного тока не более 1500В; c) максимально допустимое рабочее давление менее 0,1 МПа (избыточное) для трактов топлива и окислителя; d) топливо: – газообразное топливо (природный газ, сжиженный нефтяной газ, пропан, бутан, водород и т.д.); – жидкое топливо (керосин, метанол и т.д.); e) окислитель: воздух
Связи и замены
Заменяющий:
-
Описание стандарта
ГОСТ IEC 62282-3-201-2015 Технологии топливных элементов. Часть 3-201. Стационарные энергоустановки, установки на топливных элементах. Методы испытаний для определения рабочих характеристик систем малой мощности
Страницы стандарта





















































