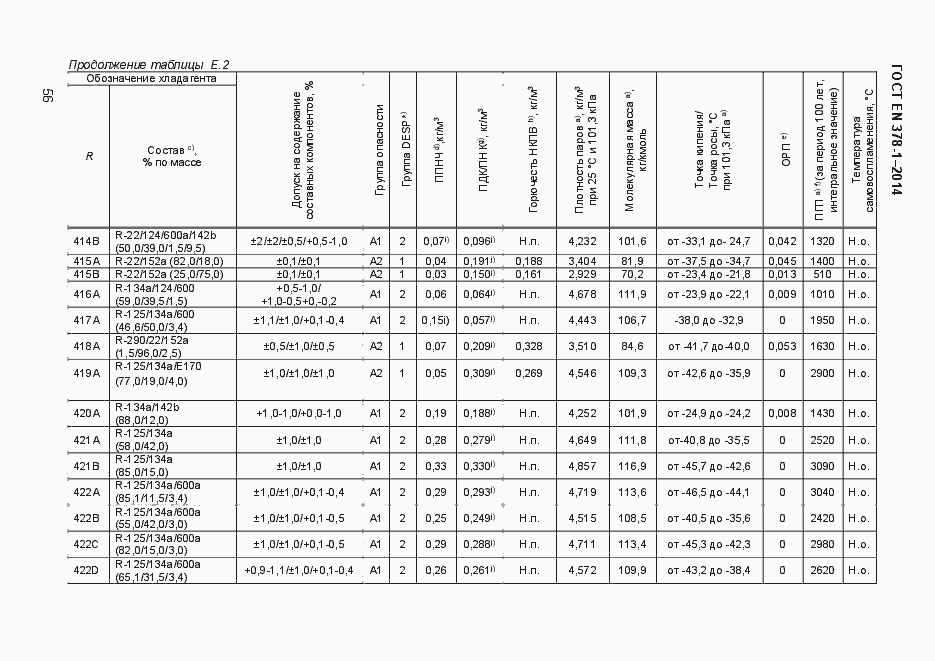
ГОСТ EN 378-1-2014 Системы холодильные и тепловые насосы. Требования безопасности и охраны окружающей среды. Часть 1. Основные требования, определения, классификация и критерии выбора
ГОСТ ЕН
Скачать ГОСТ в PDF или DOC бесплатно
Основная информация
Обозначение:
ГОСТ EN 378-1-2014
Статус:
Заменен
Тип:
ГОСТ ЕН
Название русское:
Системы холодильные и тепловые насосы. Требования безопасности и охраны окружающей среды. Часть 1. Основные требования, определения, классификация и критерии выбора
Название английское:
Safety and environmental requirements. Part 1. Basic requirements, definitions, classification and selection criteria
Даты и сроки
Дата регистрации:
09-30-14
Дата издания:
02-25-16
Дата введения в действие:
02-01-16
Дата завершения срока действия:
02-01-23
Применение и описание
Область и условия применения:
Настоящий стандарт устанавливает требования к безопасности людей и имущества (кроме продукции, находящейся в охлаждаемом или обогреваемом объеме), а также к охране атмосферы в помещениях и окружающей среды в целом: а) для мобильных и стационарных холодильных систем всех типов и размеров, в том числе тепловых насосов; b) систем охлаждения и/или обогрева с промежуточным контуром; c) различных вариантов размещения холодильных систем
Связи и замены
Заменяющий:
ГОСТ 34891.1-2022
Описание стандарта
ГОСТ EN 378-1-2014 Системы холодильные и тепловые насосы. Требования безопасности и охраны окружающей среды. Часть 1. Основные требования, определения, классификация и критерии выбора
Страницы стандарта













































































