ГОСТ Р 59375.2-2022 Конструкции для удаления дымовых газов. Требования к металлическим конструкциям для удаления дымовых газов. Часть 2. Внутренние трубы и соединительные элементы из металла
ГОСТ Р
Скачать ГОСТ в PDF или DOC бесплатно
Основная информация
Обозначение:
ГОСТ Р 59375.2-2022
Статус:
Действует
Тип:
ГОСТ Р
Название русское:
Конструкции для удаления дымовых газов. Требования к металлическим конструкциям для удаления дымовых газов. Часть 2. Внутренние трубы и соединительные элементы из металла
Название английское:
Chimneys. Requirements for metal chimneys. Part 2. Metal flue liners and connecting flue pipes
Даты и сроки
Дата издания:
08-03-22
Дата введения в действие:
09-01-22
Дата завершения срока действия:
-
Применение и описание
Область и условия применения:
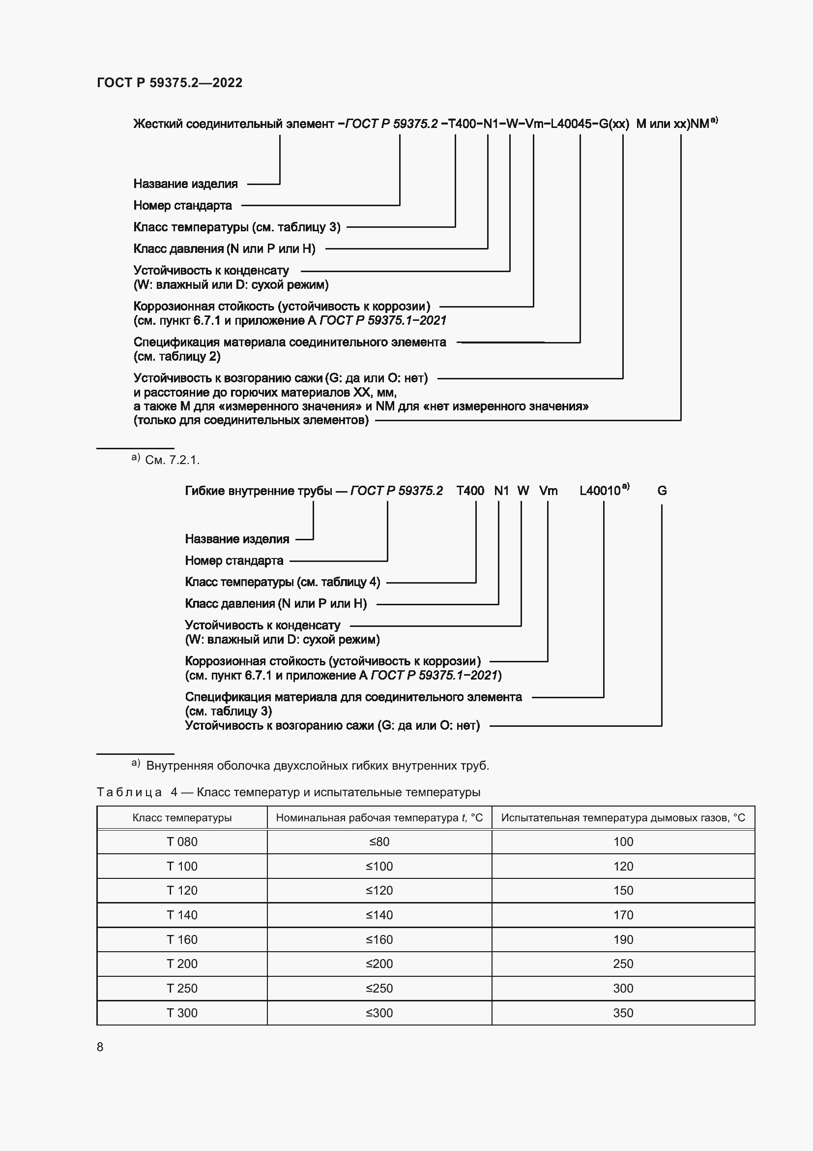
Настоящий стандарт устанавливает требования к характеристикам для жестких и гибких металлических внутренних труб, жестких металлических соединительных и фасонных элементов, которые используются для отвода продуктов сгорания от источников тепла в наружный воздух (включая их крепежи). Эмалированные соединительные элементы также являются предметом данного документа
Связи и замены
Заменяющий:
-
Описание стандарта
ГОСТ Р 59375.2-2022 Конструкции для удаления дымовых газов. Требования к металлическим конструкциям для удаления дымовых газов. Часть 2. Внутренние трубы и соединительные элементы из металла
Страницы стандарта



































