ГОСТ Р МЭК 60880-2010 Атомные электростанции. Системы контроля и управления, важные для безопасности. Программное обеспечение компьютерных систем, выполняющих функции категории А
ГОСТ Р МЭК
Скачать ГОСТ в PDF или DOC бесплатно
Основная информация
Обозначение:
ГОСТ Р МЭК 60880-2010
Статус:
Действует
Тип:
ГОСТ Р МЭК
Название русское:
Атомные электростанции. Системы контроля и управления, важные для безопасности. Программное обеспечение компьютерных систем, выполняющих функции категории А
Название английское:
Nuclear power plants. Instrumentation and control systems important to safety. Software aspects for computer-based systemsperforming category A functions
Даты и сроки
Дата издания:
12-12-11
Дата введения в действие:
01-01-12
Дата завершения срока действия:
-
Применение и описание
Область и условия применения:
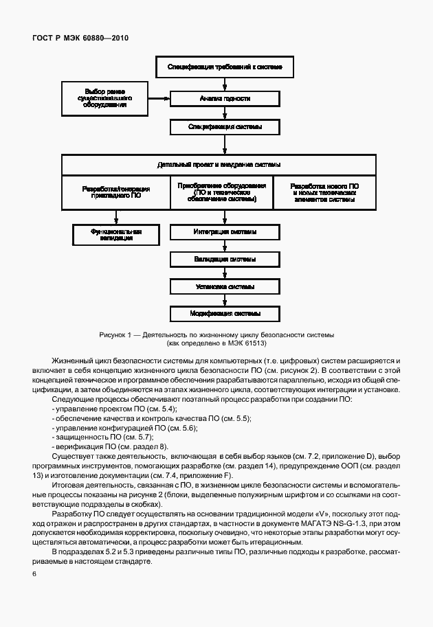
Настоящий стандарт устанавливает требования к компьютерным системам контроля и управления атомных электростанций, выполняющим функции категории А, определенные в МЭК 61226. В соответствии с определением, приведенным в МЭК 61513, системы контроля и управления класса безопасности 1 предназначены, главным образом, для поддержания функций категории А, однако они могут также поддерживать функции более низких категорий. Тем не менее, требования к системе всегда определяются выполняемыми функциями наивысших категорий. Для программного обеспечения систем контроля и управления, выполняющих на АЭС функции только категорий В и С, в соответствии с определениями МЭК 61226 применяют требования и рекомендации МЭК 62138. Цель требований настоящего стандарта состоит в разработке программного обеспечения высокой степени надежности. Требования настоящего стандарта относятся к каждому этапу разработки программного обеспечения и документации, включая спецификацию требований, проектирование, разработку, верификацию, валидацию и эксплуатацию. В основу этих требований при разработке положены следующие принципы: - наилучшая установившаяся практика; - методы проектирования сверху вниз; - модульность; - верификация на каждом этапе; - четкая документация; - легко проверяемая документация; - валидационные тестирования
Связи и замены
Заменяющий:
-
Описание стандарта
ГОСТ Р МЭК 60880-2010 Атомные электростанции. Системы контроля и управления, важные для безопасности. Программное обеспечение компьютерных систем, выполняющих функции категории А
Страницы стандарта

























































































