ГОСТ Р 59430-2021 Устройства внутрикорпусные водо-водяного энергетического реактора. Расчет на прочность на постпроектных стадиях
ГОСТ Р
Скачать ГОСТ в PDF или DOC бесплатно
Основная информация
Обозначение:
ГОСТ Р 59430-2021
Статус:
Действует
Тип:
ГОСТ Р
Название русское:
Устройства внутрикорпусные водо-водяного энергетического реактора. Расчет на прочность на постпроектных стадиях
Название английское:
Pressure vessel internals of water-water power reactor. Strength analysis at the post-design stages
Даты и сроки
Дата издания:
11-22-21
Дата введения в действие:
01-01-22
Дата завершения срока действия:
-
Применение и описание
Область и условия применения:
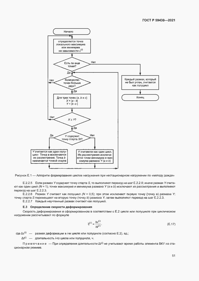
Настоящий стандарт устанавливает требования к расчетному обоснованию прочности на постпроектных стадиях внутрикорпусных устройств водо-водяных энергетических реакторов, на которые распространяется действие федеральных норм и правил в области использования атомной энергии [1], с учетом изменения свойств их материалов под действием эксплуатационных факторов. Настоящий стандарт предназначен для применения при обосновании прочности внутрикорпусных устройств водо-водяных энергетических реакторов в соответствии с [1]
Связи и замены
Заменяющий:
-
Описание стандарта
ГОСТ Р 59430-2021 Устройства внутрикорпусные водо-водяного энергетического реактора. Расчет на прочность на постпроектных стадиях
Страницы стандарта
















































































