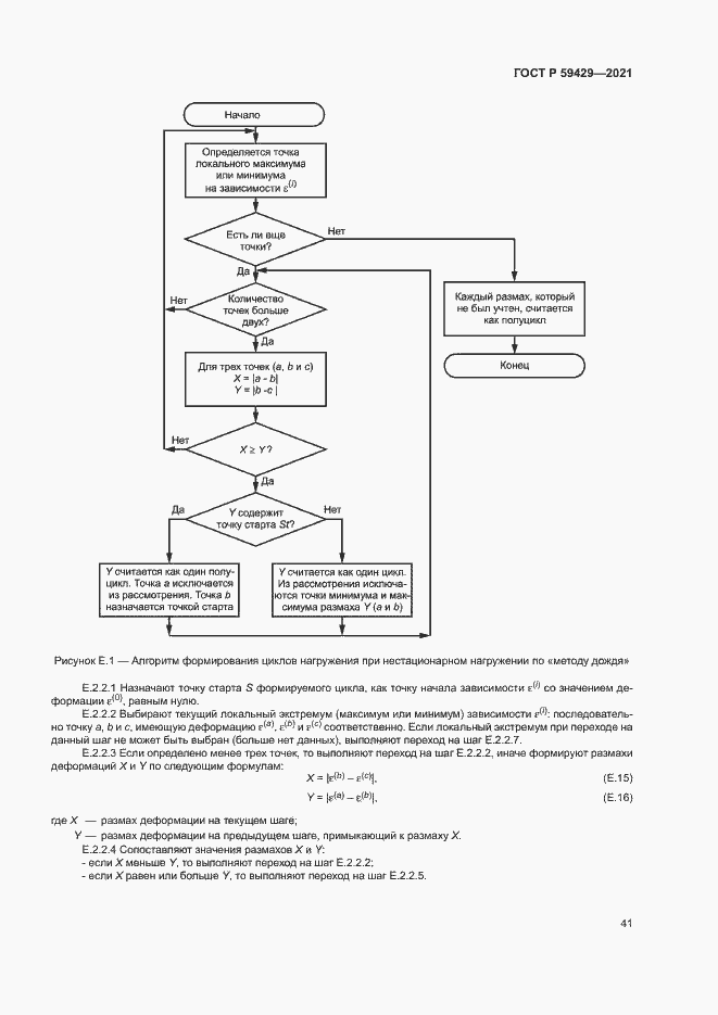
ГОСТ Р 59429-2021 Устройства внутрикорпусные водо-водяного энергетического реактора. Расчет на прочность на стадии проектирования
ГОСТ Р
Скачать ГОСТ в PDF или DOC бесплатно
Основная информация
Обозначение:
ГОСТ Р 59429-2021
Статус:
Действует
Тип:
ГОСТ Р
Название русское:
Устройства внутрикорпусные водо-водяного энергетического реактора. Расчет на прочность на стадии проектирования
Название английское:
Pressure vessel internals of water-water power reactor. Strength analysis at the design stage
Даты и сроки
Дата издания:
11-30-21
Дата введения в действие:
01-01-22
Дата завершения срока действия:
-
Применение и описание
Область и условия применения:
Настоящий стандарт устанавливает требования к расчетному обоснованию прочности на стадии проектирования внутрикорпусных устройств водо-водяных энергетических реакторов, на которые распространяется действие федеральных норм и правил в области использования атомной энергии [1], с учетом изменения свойств их материалов под действием эксплуатационных факторов
Связи и замены
Заменяющий:
-
Описание стандарта
ГОСТ Р 59429-2021 Устройства внутрикорпусные водо-водяного энергетического реактора. Расчет на прочность на стадии проектирования
Страницы стандарта




























































