ГОСТ Р МЭК 61701-2013 Модули фотоэлектрические. Испытания на коррозию в солевом тумане
ГОСТ Р МЭК
Скачать ГОСТ в PDF или DOC бесплатно
Основная информация
Обозначение:
ГОСТ Р МЭК 61701-2013
Статус:
Действует
Тип:
ГОСТ Р МЭК
Название русское:
Модули фотоэлектрические. Испытания на коррозию в солевом тумане
Название английское:
Рhotovoltaic modules. Salt mist corrosion testing
Даты и сроки
Дата издания:
11-01-14
Дата введения в действие:
01-01-15
Дата завершения срока действия:
-
Применение и описание
Область и условия применения:
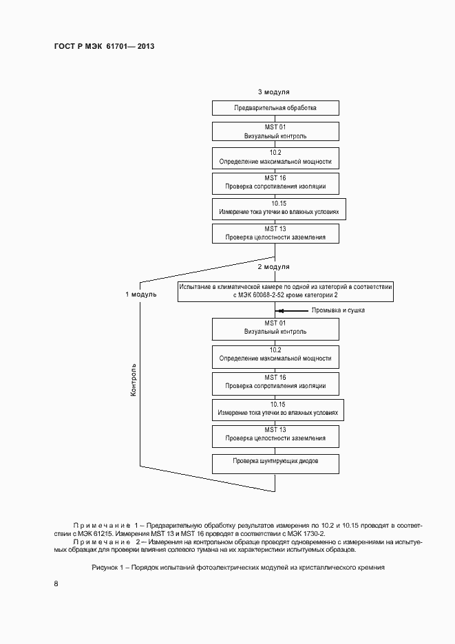
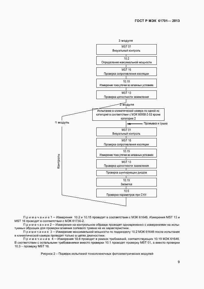
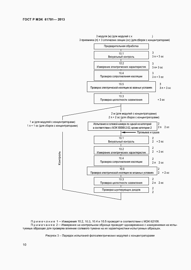
Настоящий стандарт распространяется на фотоэлектрические модули и устанавливает процедуры испытаний для определения стойкости различных фотоэлектрических модулей к коррозионному воздействию солевого тумана, содержащего ионы хлора (NaCl, MgCl2 и т. п.). Все испытания, включенные в эти процедуры, за исключением испытания шунтирующего диода на работоспособность, полностью описаны в МЭК 61215, МЭК 61646, МЭК 62108, МЭК 61730-2 и МЭК 60068-2-52
Связи и замены
Заменяющий:
-
Описание стандарта
ГОСТ Р МЭК 61701-2013 Модули фотоэлектрические. Испытания на коррозию в солевом тумане
Страницы стандарта















