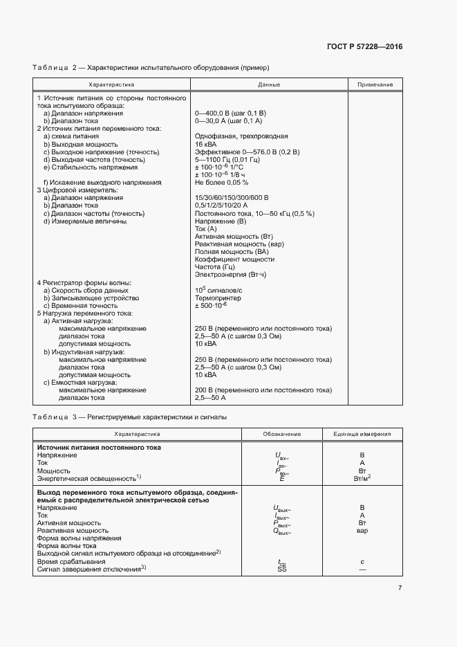
ГОСТ Р 57228-2016 Системы фотоэлектрические, работающие параллельно с распределительной электрической сетью. Методы испытаний средств защитного секционирования
ГОСТ Р
Скачать ГОСТ в PDF или DOC бесплатно
Основная информация
Обозначение:
ГОСТ Р 57228-2016
Статус:
Действует
Тип:
ГОСТ Р
Название русское:
Системы фотоэлектрические, работающие параллельно с распределительной электрической сетью. Методы испытаний средств защитного секционирования
Название английское:
Utility-interconnected photovoltaic inverters. Test methods of islanding prevention measures
Даты и сроки
Дата издания:
12-17-16
Дата введения в действие:
09-01-17
Дата завершения срока действия:
-
Применение и описание
Область и условия применения:
Настоящий стандарт распространяется на фотоэлектрические системы, предназначенные для работы параллельно с распределительной электрической сетью общего назначения, и устанавливает методы испытаний средств секционирования указанных систем
Связи и замены
Заменяющий:
-
Описание стандарта
ГОСТ Р 57228-2016 Системы фотоэлектрические, работающие параллельно с распределительной электрической сетью. Методы испытаний средств защитного секционирования
Страницы стандарта

























