ГОСТ Р 57902-2017 Модули фотоэлектрические. Испытания на деградацию, вызванную высоким напряжением. Часть 1. Фотоэлектрические модули на основе кристаллического кремния
ГОСТ Р
Скачать ГОСТ в PDF или DOC бесплатно
Основная информация
Обозначение:
ГОСТ Р 57902-2017
Статус:
Действует
Тип:
ГОСТ Р
Название русское:
Модули фотоэлектрические. Испытания на деградацию, вызванную высоким напряжением. Часть 1. Фотоэлектрические модули на основе кристаллического кремния
Название английское:
Photovoltaic modules. Potential induced degradation tests. Part 1. Crystalline silicon photovoltaic modules
Даты и сроки
Дата издания:
11-27-17
Дата введения в действие:
07-01-18
Дата завершения срока действия:
-
Применение и описание
Область и условия применения:
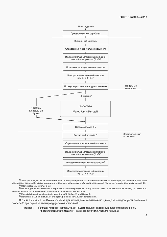
Настоящий стандарт распространяется на наземные фотоэлектрические модули на основе кристаллического кремния. Стандарт устанавливает методы испытаний на стойкость к кратковременному воздействию высокого напряжения, приводящему к деградации фотоэлектрических модулей в процессе эксплуатации. Стандарт распространяется на фотоэлектрические модули, которые содержат: - фотоэлектрические элементы из кристаллического кремния с пассивирующим/просветляющим диэлектрическим покрытием, механизмы деградации которых могут быть обусловлены подвижностью ионов, влияющих на электрическое поле вблизи поверхности фотоэлектрических элементов или электрически взаимодействующих с ними; - стеклянное покрытие на рабочей поверхности. Настоящий стандарт не распространяется на фотоэлектрические модули с концентраторами солнечного излучения, а также модули, выполненные из тандемных фотоэлектрических элементов
Связи и замены
Заменяющий:
-
Описание стандарта
ГОСТ Р 57902-2017 Модули фотоэлектрические. Испытания на деградацию, вызванную высоким напряжением. Часть 1. Фотоэлектрические модули на основе кристаллического кремния
Страницы стандарта






















