ГОСТ Р 58648.2-2019 Модули фотоэлектрические. Определение рабочих характеристик и энергетическая оценка. Часть 2. Определение спектральной чувствительности, зависимости характеристик от угла падения и коэффициентов для расчета рабочей температуры
ГОСТ Р
Скачать ГОСТ в PDF или DOC бесплатно
Основная информация
Обозначение:
ГОСТ Р 58648.2-2019
Статус:
Действует
Тип:
ГОСТ Р
Название русское:
Модули фотоэлектрические. Определение рабочих характеристик и энергетическая оценка. Часть 2. Определение спектральной чувствительности, зависимости характеристик от угла падения и коэффициентов для расчета рабочей температуры
Название английское:
Photovoltaic module. Performance testing and energy rating. Part 2. Determination of spectral sensitivity, characteristics dependence on the incidence angle and coefficients for calculating the operating temperature
Даты и сроки
Дата издания:
11-18-19
Дата введения в действие:
06-01-20
Дата завершения срока действия:
-
Применение и описание
Область и условия применения:
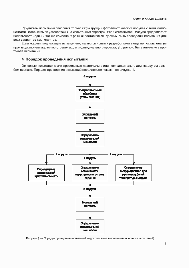
Настоящий стандарт распространяется на наземные фотоэлектрические модули. Стандарт устанавливает методы определения спектральной чувствительности и рабочей температуры фотоэлектрических модулей, а также зависимости их характеристик от угла падения излучения. Настоящий стандарт может быть неприменим к фотоэлектрическим модулям, характеристики которых меняются в течение срока службы модулей (например, под воздействием освещения или температуры) или характеристики которых существенно нелинейны. При испытаниях двусторонних фотоэлектрических модулей или фотоэлектрических модулей с многопереходными фотоэлектрическими элементами в испытания следует внести коррективы, учитывающие отличия испытаний таких модулей
Связи и замены
Заменяющий:
-
Описание стандарта
ГОСТ Р 58648.2-2019 Модули фотоэлектрические. Определение рабочих характеристик и энергетическая оценка. Часть 2. Определение спектральной чувствительности, зависимости характеристик от угла падения и коэффициентов для расчета рабочей температуры
Страницы стандарта






























