ГОСТ Р 54418.22-2014 Возобновляемая энергетика. Ветроэнергетика. Установки ветроэнергетические. Часть 22. Оценочные испытания и сертификация
ГОСТ Р
Скачать ГОСТ в PDF или DOC бесплатно
Основная информация
Обозначение:
ГОСТ Р 54418.22-2014
Статус:
Действует
Тип:
ГОСТ Р
Название русское:
Возобновляемая энергетика. Ветроэнергетика. Установки ветроэнергетические. Часть 22. Оценочные испытания и сертификация
Название английское:
Renewable power engineering. Wind power engineering. Wind turbine. Part 22. Conformity testing and certification
Даты и сроки
Дата издания:
06-03-15
Дата введения в действие:
07-01-16
Дата завершения срока действия:
-
Применение и описание
Область и условия применения:
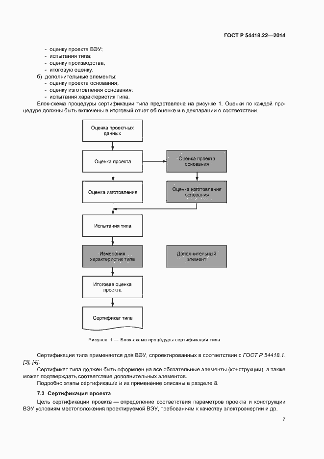
Настоящий стандарт устанавливает порядок и процедуры проведения сертификации ветроэнергетических установок (ВЭУ), предназначенных для размещения на суше и в прибрежной зоне. В настоящем стандарте установлены правила и процедуры проведения оценки соответствия ВЭУ, а также ветроэлектростанций (ВЭС) действующим стандартам и иным техническим требованиям (безопасности, надежности, производительности, взаимодействия с электрическими сетями)
Связи и замены
Заменяющий:
-
Описание стандарта
ГОСТ Р 54418.22-2014 Возобновляемая энергетика. Ветроэнергетика. Установки ветроэнергетические. Часть 22. Оценочные испытания и сертификация
Страницы стандарта




























































