ГОСТ Р 54418.25.5-2013 Возобновляемая энергетика. Ветроэнергетика. Установки ветроэнергетические. Часть 25-5. Коммуникации для текущего контроля и управления ветровыми электростанциями. Проверка соответствия техническим требованиям
ГОСТ Р
Скачать ГОСТ в PDF или DOC бесплатно
Основная информация
Обозначение:
ГОСТ Р 54418.25.5-2013
Статус:
Действует
Тип:
ГОСТ Р
Название русское:
Возобновляемая энергетика. Ветроэнергетика. Установки ветроэнергетические. Часть 25-5. Коммуникации для текущего контроля и управления ветровыми электростанциями. Проверка соответствия техническим требованиям
Название английское:
Renewable power engineering. Wind power engineering. Wind turbines. Part 25-5. Communications for monitoring and control of wind power plants. Conformance testing
Даты и сроки
Дата издания:
11-14-14
Дата введения в действие:
07-01-15
Дата завершения срока действия:
-
Применение и описание
Область и условия применения:
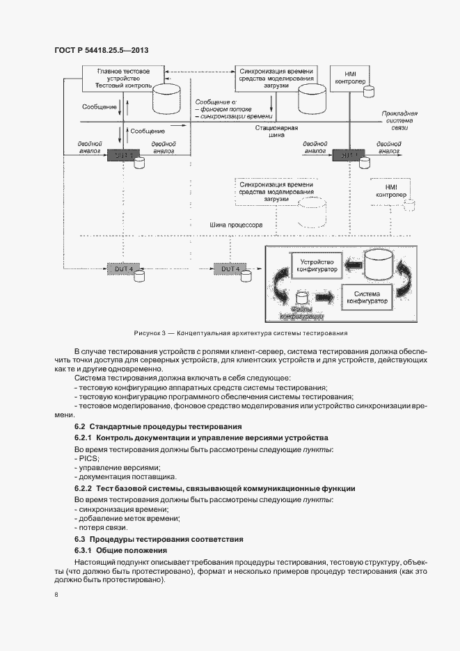
Настоящий стандарт устанавливает процедуры испытаний (тестирования), которые должны быть проведены для определения соответствия коммуникационной системы ветровой электростанции требованиям стандарта
Связи и замены
Заменяющий:
-
Описание стандарта
ГОСТ Р 54418.25.5-2013 Возобновляемая энергетика. Ветроэнергетика. Установки ветроэнергетические. Часть 25-5. Коммуникации для текущего контроля и управления ветровыми электростанциями. Проверка соответствия техническим требованиям
Страницы стандарта











































