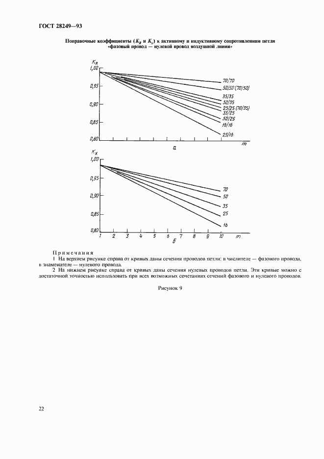
ГОСТ 28249-93 Короткие замыкания в электроустановках. Методы расчета в электроустановках переменного тока напряжением до 1 кВ
ГОСТ
Скачать ГОСТ в PDF или DOC бесплатно
Основная информация
Обозначение:
ГОСТ 28249-93
Статус:
Действует
Тип:
ГОСТ
Название русское:
Короткие замыкания в электроустановках. Методы расчета в электроустановках переменного тока напряжением до 1 кВ
Название английское:
Short-circuits in electrical installations. Calculation methods in a. c. electrical installations with voltage below 1 kV
Даты и сроки
Дата регистрации:
10-21-93
Дата издания:
05-01-06
Дата введения в действие:
01-01-95
Дата завершения срока действия:
-
Применение и описание
Область и условия применения:
Настоящий стандарт распространяется на трехфазные электроустановки напряжением до 1 кВ промышленной частоты, присоединенные к энергосистеме или к автономным источникам электроэнергии
Связи и замены
Заменяющий:
-
Взамен:
ГОСТ 28249-89
Описание стандарта
ГОСТ 28249-93 Короткие замыкания в электроустановках. Методы расчета в электроустановках переменного тока напряжением до 1 кВ
Страницы стандарта














































