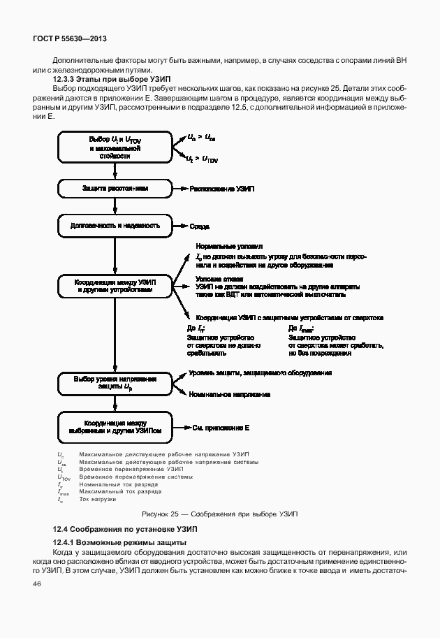
ГОСТ Р 55630-2013 Перенапряжения импульсные и защита от перенапряжений в низковольтных системах переменного тока. Общие положения
ГОСТ Р
Скачать ГОСТ в PDF или DOC бесплатно
Основная информация
Обозначение:
ГОСТ Р 55630-2013
Статус:
Действует
Тип:
ГОСТ Р
Название русское:
Перенапряжения импульсные и защита от перенапряжений в низковольтных системах переменного тока. Общие положения
Название английское:
Surge overvoltages and surge protection in low-voltage a.c. power systems. General basic information
Даты и сроки
Дата издания:
12-04-14
Дата введения в действие:
01-01-15
Дата завершения срока действия:
-
Применение и описание
Область и условия применения:
Настоящий стандарт представляет общий обзор различных видов импульсных перенапряжений, которые могут произойти в низковольтных электроустановках, приводит типовые по величине и продолжительности импульсные перенапряжения, а так же частоту их возникновения
Связи и замены
Заменяющий:
-
Описание стандарта
ГОСТ Р 55630-2013 Перенапряжения импульсные и защита от перенапряжений в низковольтных системах переменного тока. Общие положения
Страницы стандарта









































































































