ГОСТ Р МЭК 62305-2-2010 Менеджмент риска. Защита от молнии. Часть 2. Оценка риска
ГОСТ Р МЭК
Скачать ГОСТ в PDF или DOC бесплатно
Основная информация
Обозначение:
ГОСТ Р МЭК 62305-2-2010
Статус:
Действует
Тип:
ГОСТ Р МЭК
Название русское:
Менеджмент риска. Защита от молнии. Часть 2. Оценка риска
Название английское:
Risk management. Protection against lightning. Part 2. Risk assessment
Даты и сроки
Дата издания:
09-27-11
Дата введения в действие:
12-01-11
Дата завершения срока действия:
-
Применение и описание
Область и условия применения:
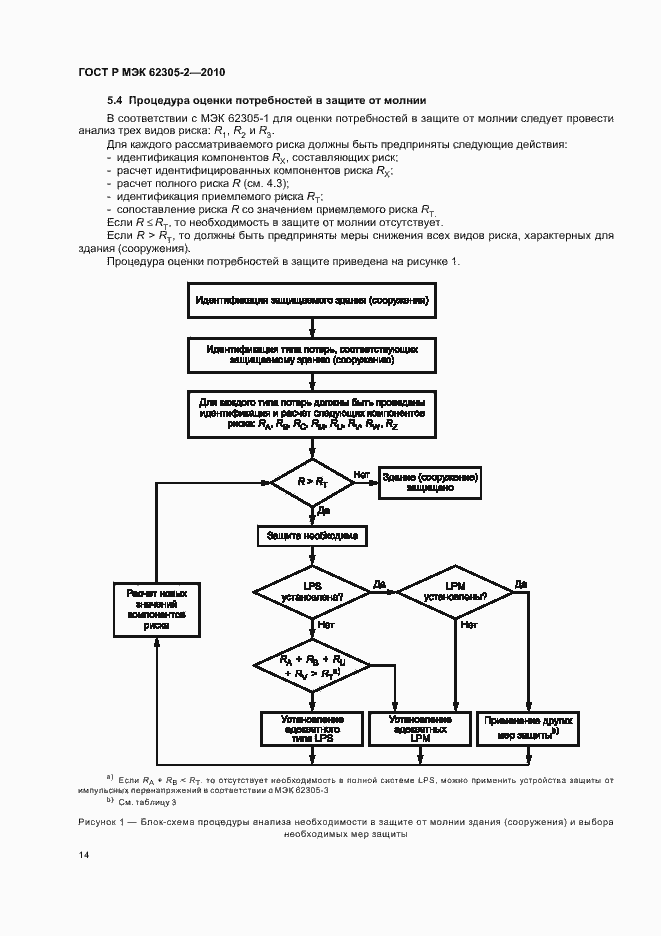
Настоящий стандарт применим к оценке риска удара молнии и его последствий для зданий, сооружений и их частей. В настоящем стандарте установлены процедуры оценки риска удара молнии для зданий (сооружений). Если установлен приемлемый риск, то такая процедура позволяет выбрать соответствующие меры защиты от молнии для снижения риска до приемлемого значения
Связи и замены
Заменяющий:
-
Описание стандарта
ГОСТ Р МЭК 62305-2-2010 Менеджмент риска. Защита от молнии. Часть 2. Оценка риска
Страницы стандарта










































































