ГОСТ 4268-75 Микалента. Технические условия
ГОСТ
Скачать ГОСТ в PDF или DOC бесплатно
Основная информация
Обозначение:
ГОСТ 4268-75
Статус:
Действует
Тип:
ГОСТ
Название русское:
Микалента. Технические условия
Название английское:
Micastrip. Specifications
Даты и сроки
Дата издания:
12-01-89
Дата введения в действие:
01-01-77
Дата завершения срока действия:
-
Применение и описание
Область и условия применения:
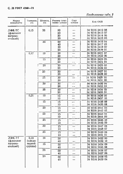
Настоящий стандарт распространяется на микаленту, предназначенную для применения в электрических машинах и аппаратах в качестве электроизоляционного материала
Связи и замены
Заменяющий:
-
Взамен:
ГОСТ 4268-65
Изменения и переиздания
Список изменений:
№1 от (рег. ) «Срок действия продлен» №2 от (рег. ) «Срок действия продлен» №3 от (рег. ) «Срок действия продлен»
Описание стандарта
ГОСТ 4268-75 Микалента. Технические условия
Страницы стандарта





































