ГОСТ IEC 60227-4-2011 Кабели с поливинилхлоридной изоляцией на номинальное напряжение до 450/750 В включительно. Кабели в оболочке для стационарной прокладки
ГОСТ МЭК
Скачать ГОСТ в PDF или DOC бесплатно
Основная информация
Обозначение:
ГОСТ IEC 60227-4-2011
Статус:
Действует
Тип:
ГОСТ МЭК
Название русское:
Кабели с поливинилхлоридной изоляцией на номинальное напряжение до 450/750 В включительно. Кабели в оболочке для стационарной прокладки
Название английское:
Polyvinyl chloride insulated cables of rated voltages up to and including 450/750 V. Shethed cables for fixed wiring
Даты и сроки
Дата регистрации:
11-29-11
Дата издания:
08-25-14
Дата введения в действие:
01-01-13
Дата завершения срока действия:
-
Применение и описание
Область и условия применения:
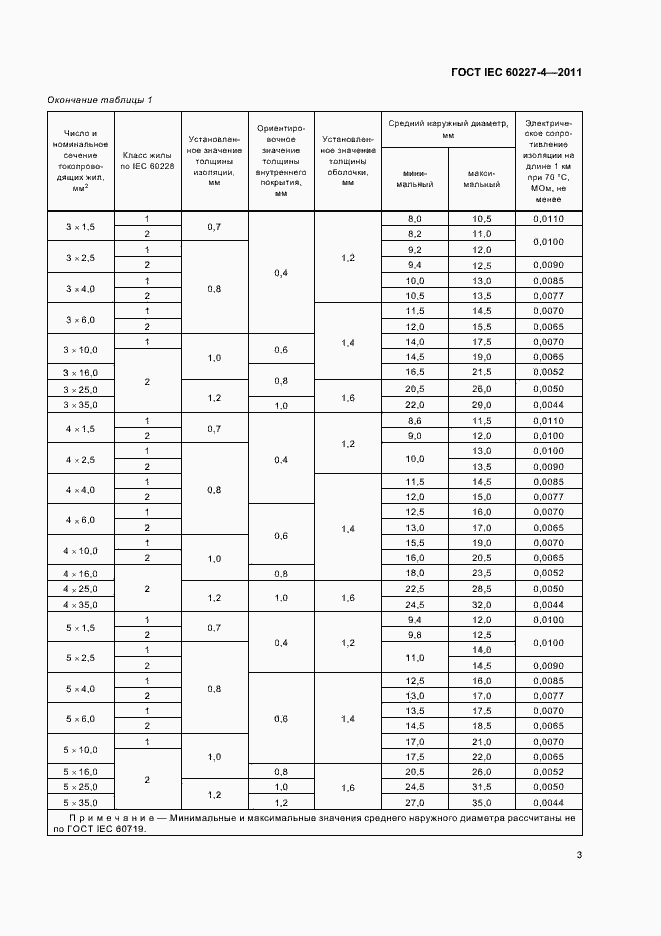
Настоящий стандарт устанавливает технические требования к кабелям в облегченной поливинилхлоридной оболочке для стационарной прокладки на номинальное напряжение до 300/500 В включительно. Кабели должны соответствовать общим требованиям IEC 60227-1 и конкретным требованиям настоящего стандарта
Связи и замены
Заменяющий:
-
Изменения и переиздания
Список изменений:
№0 от (рег. ) «Дата введения перенесена»
Описание стандарта
ГОСТ IEC 60227-4-2011 Кабели с поливинилхлоридной изоляцией на номинальное напряжение до 450/750 В включительно. Кабели в оболочке для стационарной прокладки
Страницы стандарта









Приложение №1: Поправка к ГОСТ IEC 60227-4-2011 Обозначение: Поправка к ГОСТ IEC 60227-4-2011 Дата введения в действие: 06.06.2015
