ГОСТ Р МЭК 60317-0-1-2013 Технические условия на обмоточные провода конкретных типов. Часть 0-1. Общие требования. Провода медные круглые эмалированные
ГОСТ Р МЭК
Скачать ГОСТ в PDF или DOC бесплатно
Основная информация
Обозначение:
ГОСТ Р МЭК 60317-0-1-2013
Статус:
Заменен
Тип:
ГОСТ Р МЭК
Название русское:
Технические условия на обмоточные провода конкретных типов. Часть 0-1. Общие требования. Провода медные круглые эмалированные
Название английское:
Specifications for particular types of winding wires. Part 0-1. General requirements. Enamelled round copper wire
Даты и сроки
Дата издания:
11-01-14
Дата введения в действие:
01-01-15
Дата завершения срока действия:
09-01-22
Применение и описание
Область и условия применения:
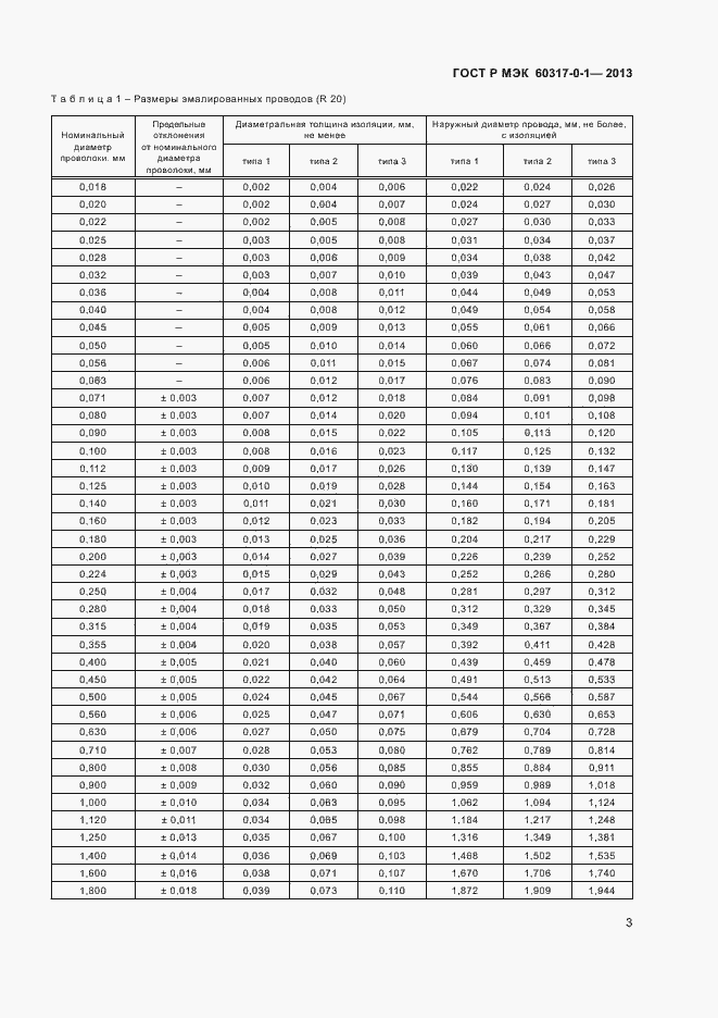
Настоящий стандарт устанавливает общие требования к эмалированным круглым медным обмоточным проводам с клеящим слоем или без него. Диапазон номинальных диаметров проволоки приведен в соответствующем стандарте серии МЭК 60317, устанавливающем частные требования к проводам конкретного типа
Связи и замены
Заменяющий:
ГОСТ Р МЭК 60317-0-1-2022
Описание стандарта
ГОСТ Р МЭК 60317-0-1-2013 Технические условия на обмоточные провода конкретных типов. Часть 0-1. Общие требования. Провода медные круглые эмалированные
Страницы стандарта


























