ГОСТ 31943-2012 Кабели телефонные с полиэтиленовой изоляцией в пластмассовой оболочке. Технические условия
ГОСТ
Скачать ГОСТ в PDF или DOC бесплатно
Основная информация
Обозначение:
ГОСТ 31943-2012
Статус:
Действует
Тип:
ГОСТ
Название русское:
Кабели телефонные с полиэтиленовой изоляцией в пластмассовой оболочке. Технические условия
Название английское:
Telephone cables with polyethylene insulation and plastic sheath. Specifications
Даты и сроки
Дата регистрации:
12-03-12
Дата издания:
11-20-13
Дата введения в действие:
01-01-14
Дата завершения срока действия:
-
Применение и описание
Область и условия применения:
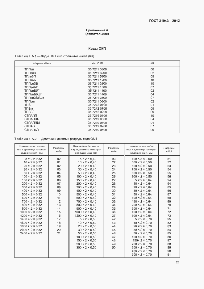
Настоящий стандарт распространяется на телефонные кабели с полиэтиленовой изоляцией в пластмассовой оболочке, предназначенные для эксплуатации в местных первичных сетях связи с номинальным напряжением дистанционного питания до 225 и 145 В переменного тока частотой 50 Гц или напряжением до 315 и 200 В постоянного тока соответственно
Связи и замены
Заменяющий:
-
Описание стандарта
ГОСТ 31943-2012 Кабели телефонные с полиэтиленовой изоляцией в пластмассовой оболочке. Технические условия
Страницы стандарта



































