ГОСТ 19797-85 Изоляторы керамические опорные на напряжение свыше 1000 В для работы в помещении. Типы, основные параметры и размеры
ГОСТ
Скачать ГОСТ в PDF или DOC бесплатно
Основная информация
Обозначение:
ГОСТ 19797-85
Статус:
Действует
Тип:
ГОСТ
Название русское:
Изоляторы керамические опорные на напряжение свыше 1000 В для работы в помещении. Типы, основные параметры и размеры
Название английское:
Base ceramic indoor insulators for systems with nominal voltage over 1000 V. Types, basic parameters and dimensions
Даты и сроки
Дата издания:
06-01-05
Дата введения в действие:
01-01-87
Дата завершения срока действия:
-
Применение и описание
Область и условия применения:
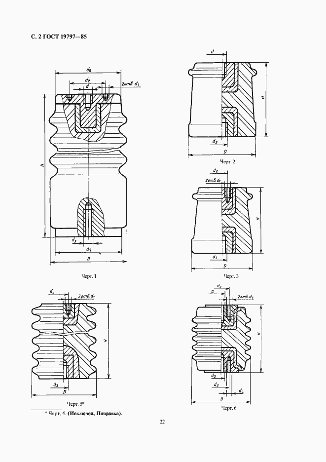
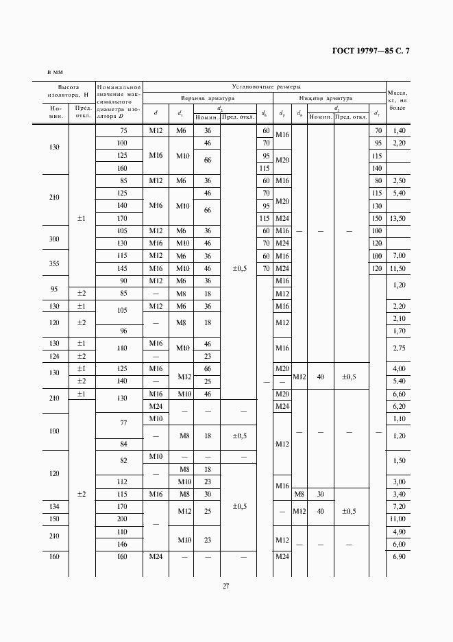
Настоящий стандарт распространяется на опорные керамические армированные изоляторы климатического исполнения У, УХЛ, Т категории размещения 2, 3, 4 по ГОСТ 15150, предназначенные для изоляции и крепления токоведущих частей в электрических аппаратах и распределительных устройствах. Настоящий стандарт устанавливает типы, основные параметры и размеры изоляторов, изготовленных для нужд народного хозяйства и экспорта
Связи и замены
Заменяющий:
-
Взамен:
ГОСТ 19797-80
Изменения и переиздания
Список изменений:
№1 от (рег. ) «Срок действия продлен» №2 от (рег. ) «Срок действия продлен»
Описание стандарта
ГОСТ 19797-85 Изоляторы керамические опорные на напряжение свыше 1000 В для работы в помещении. Типы, основные параметры и размеры
Страницы стандарта









