ГОСТ 25073-81 Изоляторы керамические опорные на напряжение свыше 1000 В для работы на открытом воздухе. Типы, основные параметры и размеры
ГОСТ
Скачать ГОСТ в PDF или DOC бесплатно
Основная информация
Обозначение:
ГОСТ 25073-81
Статус:
Действует
Тип:
ГОСТ
Название русское:
Изоляторы керамические опорные на напряжение свыше 1000 В для работы на открытом воздухе. Типы, основные параметры и размеры
Название английское:
Ceramik base outdoor insulators for voltage over 1000 B. Types, main parameters and dimensions
Даты и сроки
Дата издания:
06-01-05
Дата введения в действие:
01-01-83
Дата завершения срока действия:
-
Применение и описание
Область и условия применения:
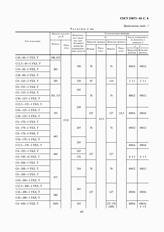
Настоящий стандарт распространяется на опорные стержневые армированные фарфоровые изоляторы климатических исполнений УХЛ, Т, категории размещения 1 по ГОСТ 15150, предназначенные для изоляции и крепления токоведущих частей в электрических аппаратах и открытых распределительных устройствах переменного тока напряжением св. 1000 В частоты до 100 Гц
Связи и замены
Заменяющий:
-
Изменения и переиздания
Список изменений:
№1 от (рег. ) «Срок действия продлен» №2 от (рег. ) «Поправка» №3 от (рег. ) «Срок действия продлен» №4 от (рег. ) «Срок действия продлен» №5 от (рег. ) «Срок действия продлен»
Описание стандарта
ГОСТ 25073-81 Изоляторы керамические опорные на напряжение свыше 1000 В для работы на открытом воздухе. Типы, основные параметры и размеры
Страницы стандарта















