ГОСТ 28739-90 Изоляторы опорные из органических материалов для систем внутренних установок на номинальное напряжение свыше 1000 В до 300 кВ. Методы испытаний
ГОСТ
Скачать ГОСТ в PDF или DOC бесплатно
Основная информация
Обозначение:
ГОСТ 28739-90
Статус:
Действует
Тип:
ГОСТ
Название русское:
Изоляторы опорные из органических материалов для систем внутренних установок на номинальное напряжение свыше 1000 В до 300 кВ. Методы испытаний
Название английское:
Tests on indoor post insulators of organic materials for systems with nominal voltages greater than 1000 V up to 300 kV
Даты и сроки
Дата издания:
07-01-05
Дата введения в действие:
01-01-92
Дата завершения срока действия:
-
Применение и описание
Область и условия применения:
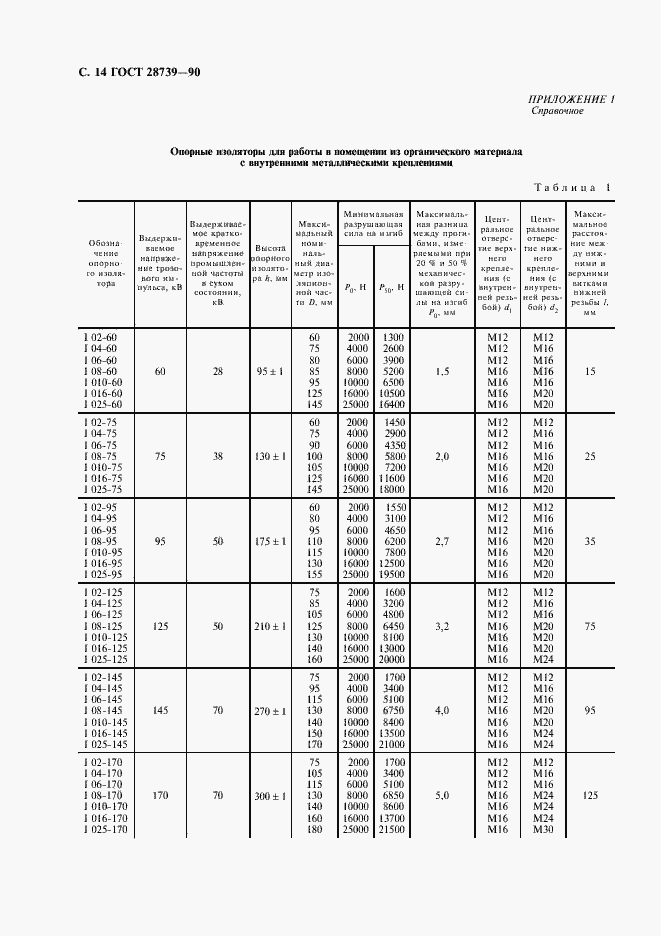
Настоящий стандарт распространяется на опорные изоляторы из органического материала для электрических установок, работающих в помещении или внутри оборудования, работающего при атмосферном давлении, на номинальное напряжение свыше 1000 В до 300 кВ переменного тока и частотой не более 100 Гц. Настоящий стандарт распространяется на опорные изоляторы из литьевой эпоксидной смолы, которая прошла длительную апробацию
Связи и замены
Заменяющий:
-
Описание стандарта
ГОСТ 28739-90 Изоляторы опорные из органических материалов для систем внутренних установок на номинальное напряжение свыше 1000 В до 300 кВ. Методы испытаний
Страницы стандарта


















