ГОСТ IEC 60664-5-2013 Координация изоляции для оборудования в низковольтных системах. Часть 5. Комплексный метод определения зазоров и путей утечки, равных или менее 2 мм
ГОСТ МЭК
Скачать ГОСТ в PDF или DOC бесплатно
Основная информация
Обозначение:
ГОСТ IEC 60664-5-2013
Статус:
Действует
Тип:
ГОСТ МЭК
Название русское:
Координация изоляции для оборудования в низковольтных системах. Часть 5. Комплексный метод определения зазоров и путей утечки, равных или менее 2 мм
Название английское:
Insulation coordination for equipment within low-voltage systems. Part 5. Comprehensive method for determining clearances and creepage distance equal to or less than 2 mm
Даты и сроки
Дата регистрации:
11-14-13
Дата издания:
11-01-14
Дата введения в действие:
01-01-16
Дата завершения срока действия:
-
Применение и описание
Область и условия применения:
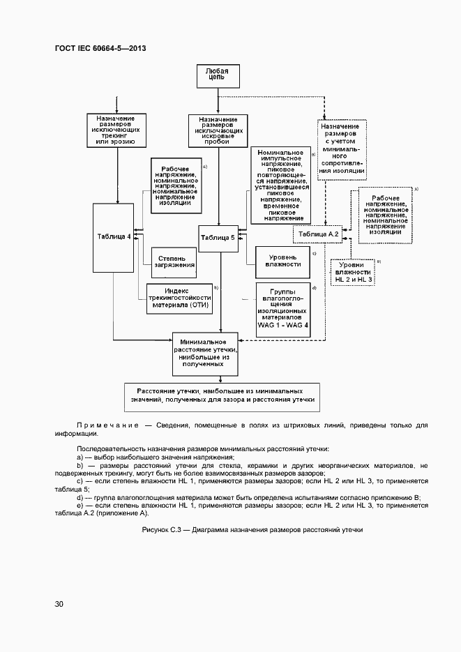
Настоящий стандарт определяет назначение размеров изоляционных промежутков (зазоров, далее - зазоры) и расстояний утечки для промежутков равных или менее 2 мм для печатных плат и аналогичных конструкций, где зазоры и расстояния утечки определимы и расположены вдоль поверхностей твердой изоляции, таких как части, определяемые в IEC 60664-1 (пункт 6.2)
Связи и замены
Заменяющий:
-
Описание стандарта
ГОСТ IEC 60664-5-2013 Координация изоляции для оборудования в низковольтных системах. Часть 5. Комплексный метод определения зазоров и путей утечки, равных или менее 2 мм
Страницы стандарта







































Приложение №1: Поправка к ГОСТ IEC 60664-5-2013 Обозначение: Поправка к ГОСТ IEC 60664-5-2013 Дата введения в действие: 14.08.2019
