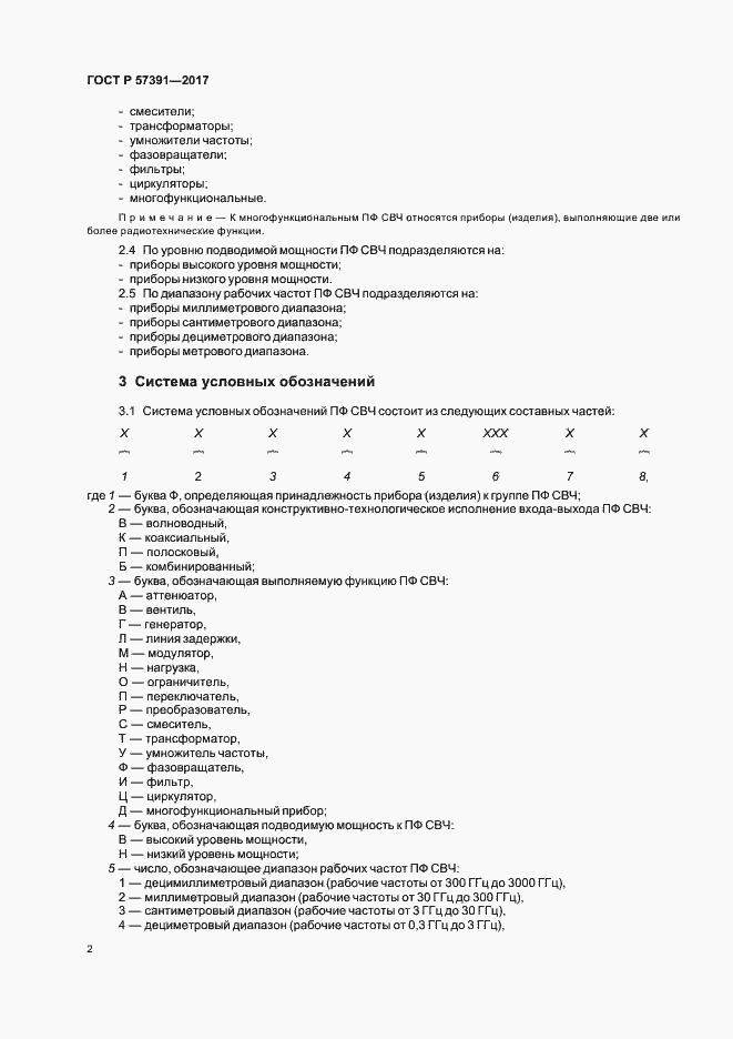
ГОСТ Р 57391-2017 Приборы ферритовые СВЧ. Классификация и система условных обозначений
ГОСТ Р
Скачать ГОСТ в PDF или DOC бесплатно
Основная информация
Обозначение:
ГОСТ Р 57391-2017
Статус:
Действует
Тип:
ГОСТ Р
Название русское:
Приборы ферритовые СВЧ. Классификация и система условных обозначений
Название английское:
Ferrite devices SHF. Classification and system of designations
Даты и сроки
Дата издания:
03-02-17
Дата введения в действие:
01-01-18
Дата завершения срока действия:
-
Применение и описание
Область и условия применения:
Настоящий стандарт распространяется на вновь разрабатываемые и модернизируемые приборы ферритовые сверхвысокочастотные (далее - ПФ СВЧ) и устанавливает их классификацию и систему условных обозначений
Связи и замены
Заменяющий:
-
Описание стандарта
ГОСТ Р 57391-2017 Приборы ферритовые СВЧ. Классификация и система условных обозначений
Страницы стандарта






