ГОСТ IEC 60320-1-2021 Соединители приборные бытового и аналогичного назначения. Часть 1. Общие требования
ГОСТ МЭК
Скачать ГОСТ в PDF или DOC бесплатно
Основная информация
Обозначение:
ГОСТ IEC 60320-1-2021
Статус:
Действует
Тип:
ГОСТ МЭК
Название русское:
Соединители приборные бытового и аналогичного назначения. Часть 1. Общие требования
Название английское:
Appliance couplers for household and similar general purposes. Part 1. General requirements
Даты и сроки
Дата регистрации:
06-30-21
Дата издания:
08-03-22
Дата введения в действие:
01-01-23
Дата завершения срока действия:
-
Применение и описание
Область и условия применения:
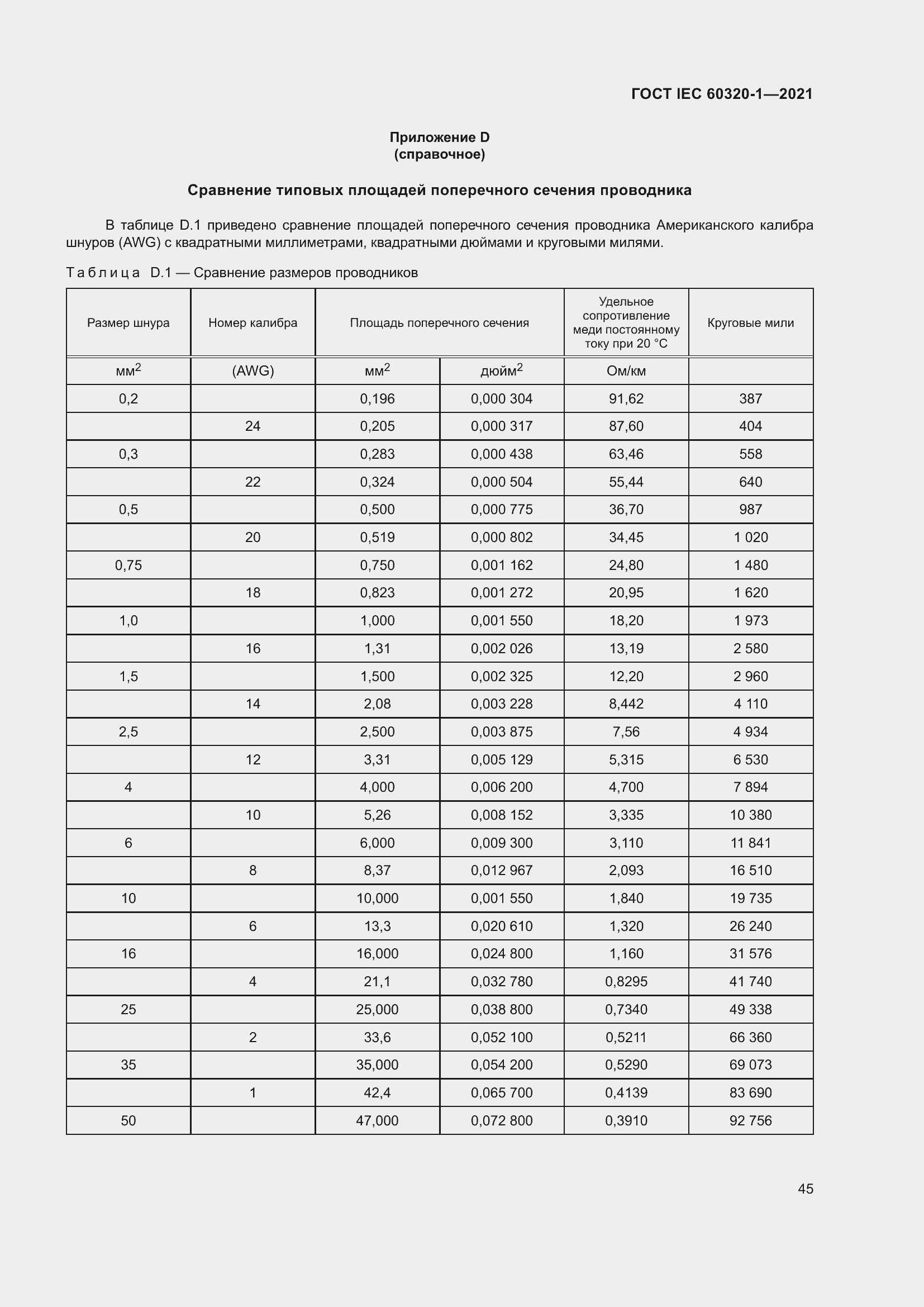
Настоящий стандарт устанавливает общие требования к двухполюсным приборным соединителям с заземляющим контактом или без него для подключения электрических устройств бытового и аналогичного назначения к источнику питания. Настоящий стандарт также применяют для приборных вводов/приборных выводов, интегрированных или встроенных в устройства. Номинальное напряжение не превышает 250 В (a.c.), а номинальный ток — 16 А
Связи и замены
Заменяющий:
-
Взамен:
ГОСТ 30851.1-2002
Описание стандарта
ГОСТ IEC 60320-1-2021 Соединители приборные бытового и аналогичного назначения. Часть 1. Общие требования
Страницы стандарта



























































Приложение №1: Поправка к ГОСТ IEC 60320-1-2021 Обозначение: Поправка к ГОСТ IEC 60320-1-2021 Дата введения в действие: 27.02.2023
