ГОСТы >
29.130.10 Высоковольтное оборудование, коммутационная аппаратура и аппаратура управления >
ГОСТ 34433-2018
ГОСТ 34433-2018 Магистральный трубопроводный транспорт нефти и нефтепродуктов. Подстанции трансформаторные комплектные напряжением от 35 до 220 кв. Общие технические условия
ГОСТ
Скачать ГОСТ в PDF или DOC бесплатно
Основная информация
Обозначение:
ГОСТ 34433-2018
Статус:
Действует
Тип:
ГОСТ
Название русское:
Магистральный трубопроводный транспорт нефти и нефтепродуктов. Подстанции трансформаторные комплектные напряжением от 35 до 220 кв. Общие технические условия
Название английское:
Trunk pipelines for oil and oil products transportation. Transformer complete substations with voltage from 35 to 220 kV. General specifications
Даты и сроки
Дата регистрации:
07-27-18
Дата издания:
08-17-18
Дата введения в действие:
04-01-19
Дата завершения срока действия:
-
Применение и описание
Область и условия применения:
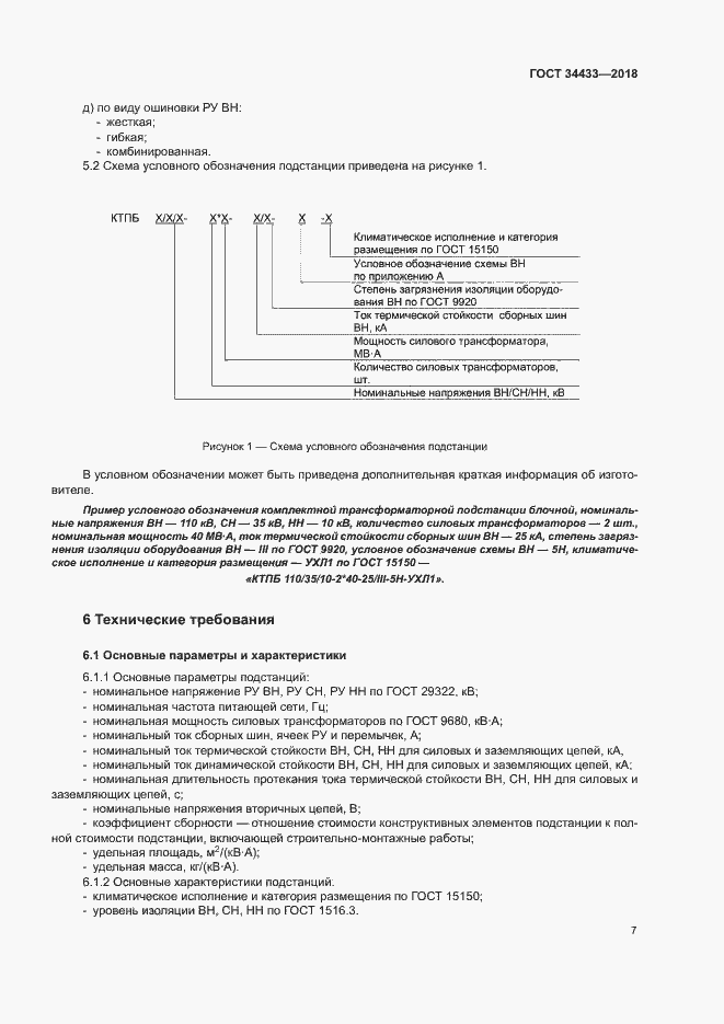
Настоящий стандарт распространяется на комплектные трансформаторные блочные подстанции напряжением от 35 до 220 кВ включительно, предназначенные для электроснабжения объектов магистрального трубопровода для транспортировки нефти и нефтепродуктов. Настоящий документ не распространяется на газоизолирующие подстанции
Связи и замены
Заменяющий:
-
Описание стандарта
ГОСТ 34433-2018 Магистральный трубопроводный транспорт нефти и нефтепродуктов. Подстанции трансформаторные комплектные напряжением от 35 до 220 кв. Общие технические условия
Страницы стандарта








































