ГОСТы >
29.130.20 Низковольтная коммутационная аппаратура и аппаратура управления >
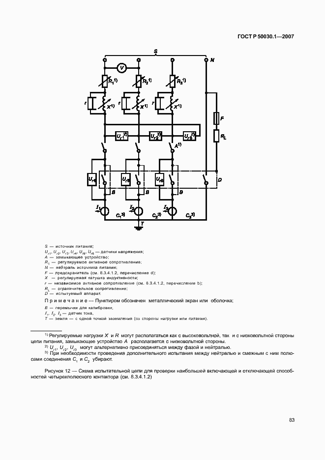
ГОСТ Р 50030.1-2007
ГОСТ Р 50030.1-2007 Аппаратура распределения и управления низковольтная. Часть 1. Общие требования
ГОСТ Р
Скачать ГОСТ в PDF или DOC бесплатно
Основная информация
Обозначение:
ГОСТ Р 50030.1-2007
Статус:
Отменен
Тип:
ГОСТ Р
Название русское:
Аппаратура распределения и управления низковольтная. Часть 1. Общие требования
Название английское:
Low-voltage switchgear and controlgear. Part 1. General rules
Даты и сроки
Дата издания:
07-04-08
Дата введения в действие:
07-01-08
Дата завершения срока действия:
01-01-14
Применение и описание
Область и условия применения:
Настоящий стандарт распространяется на низковольтные аппараты распределения и управления, предназначенные для эксплуатации в электрических цепях номинальным напряжением до 1000 В переменного тока или до 1500 В постоянного тока. Требования настоящего стандарта распространяются на аппараты конкретного вида (типа) при наличии в стандартах на эти аппараты соответствующих ссылок. Настоящий стандарт не распространяется на низковольтные комплектные устройства распределения и управления, которые подпадают под действие ГОСТ Р 51321-1
Связи и замены
Заменяющий:
-
Взамен:
ГОСТ Р 50030.1-2000
Изменения и переиздания
Список изменений:
№0 от (рег. ) «Текстовое изменение; Изменено заглавие»
Описание стандарта
ГОСТ Р 50030.1-2007 Аппаратура распределения и управления низковольтная. Часть 1. Общие требования
Страницы стандарта













































































































































