ГОСТ 2239-79 Лампы накаливания общего назначения. Технические условия
ГОСТ
Скачать ГОСТ в PDF или DOC бесплатно
Основная информация
Обозначение:
ГОСТ 2239-79
Статус:
Действует
Тип:
ГОСТ
Название русское:
Лампы накаливания общего назначения. Технические условия
Название английское:
Electric filament lamps for general purpose. Specifications
Даты и сроки
Дата издания:
07-01-03
Дата введения в действие:
01-01-81
Дата завершения срока действия:
-
Применение и описание
Область и условия применения:
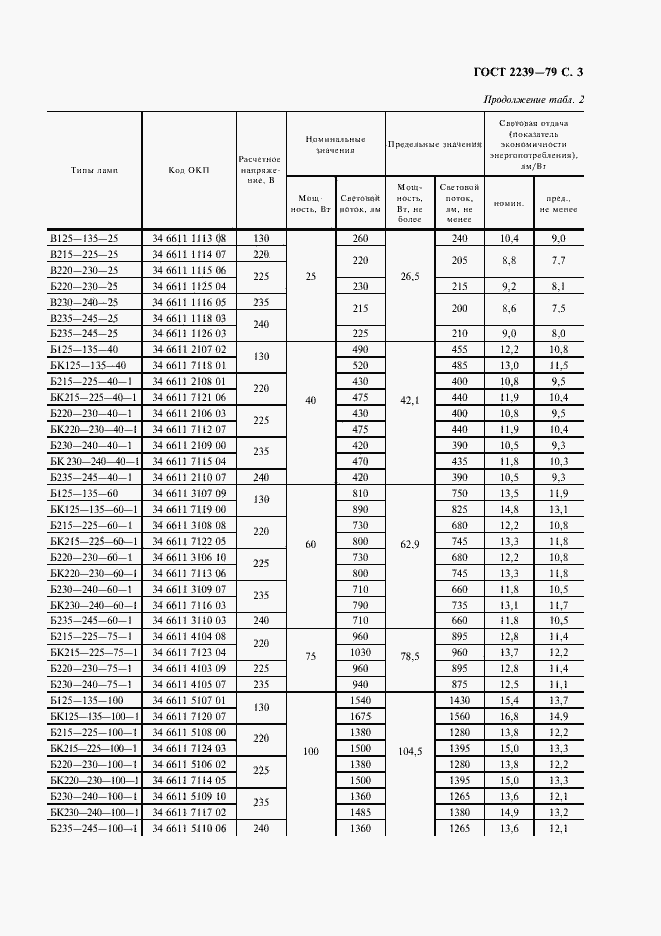
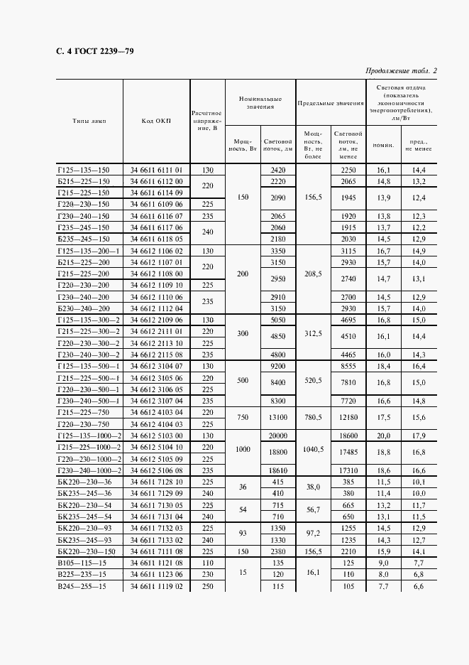
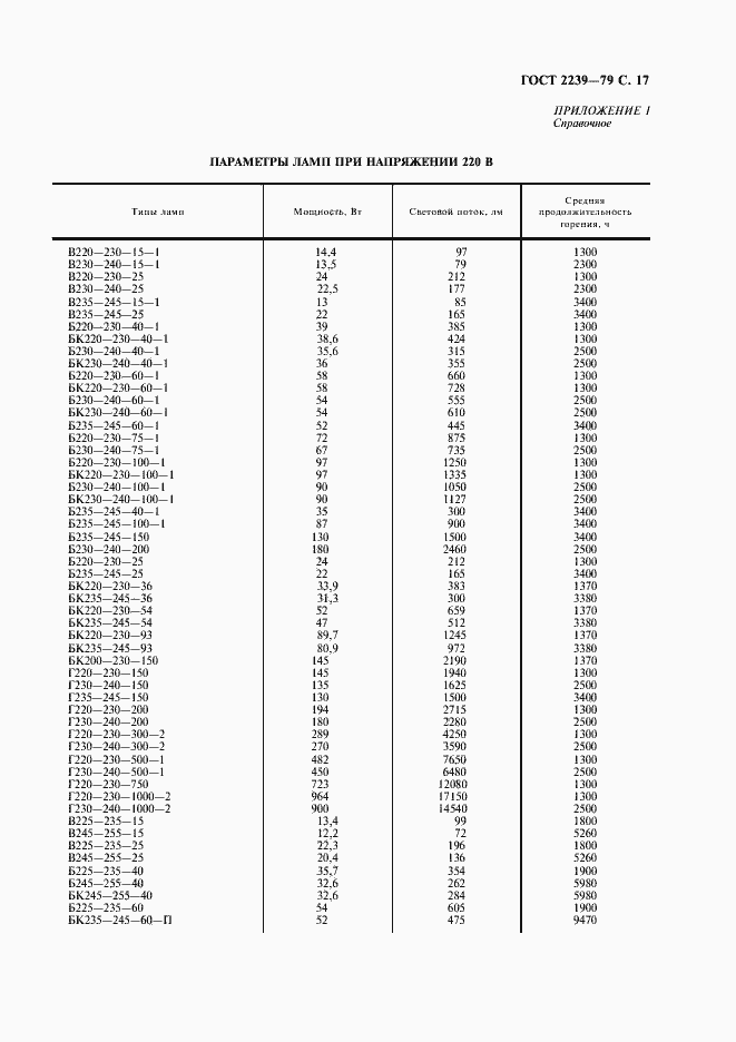
Настоящий стандарт распространяется на лампы накаливания общего назначения, предназначенные для светильников внутреннего и наружного освещения, в сетях переменного тока с номинальным напряжением 127 или 220 В частоты 50 Гц
Связи и замены
Заменяющий:
-
Взамен:
ГОСТ 2239-70
Изменения и переиздания
Список изменений:
№0 от (рег. ) «Поправка к изменению» №1 от (рег. ) «Срок действия продлен» №2 от (рег. ) «Срок действия продлен» №3 от (рег. ) «Срок действия продлен» №4 от (рег. ) «Срок действия продлен» №5 от (рег. ) «Срок действия продлен» №6 от (рег. ) «Срок действия продлен» №7 от (рег. ) «Срок действия продлен»
Описание стандарта
ГОСТ 2239-79 Лампы накаливания общего назначения. Технические условия
Страницы стандарта






















