ГОСТ 7.19-2001 Система стандартов по информации, библиотечному и издательскому делу. Формат для обмена данными. Содержание записи
ГОСТ
Скачать ГОСТ в PDF или DOC бесплатно
Основная информация
Обозначение:
ГОСТ 7.19-2001
Статус:
Действует
Тип:
ГОСТ
Название русское:
Система стандартов по информации, библиотечному и издательскому делу. Формат для обмена данными. Содержание записи
Название английское:
System of standards on information, librarianship and publishing. Format for data interchange. Contents of record
Даты и сроки
Дата регистрации:
05-22-01
Дата издания:
11-20-01
Дата введения в действие:
07-01-02
Дата завершения срока действия:
-
Применение и описание
Область и условия применения:
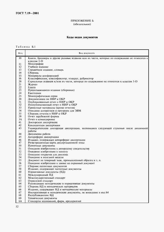
Настоящий стандарт устанавливает состав, содержание и представление элементов данных для обмена данными и может быть использован информационными системами, участвующими в обмене
Связи и замены
Заменяющий:
-
Взамен:
ГОСТ 7.19-85
Описание стандарта
ГОСТ 7.19-2001 Система стандартов по информации, библиотечному и издательскому делу. Формат для обмена данными. Содержание записи
Страницы стандарта

























































