ГОСТ 23198-2021 Источники света электрические. Методы измерений спектральных и цветовых характеристик
ГОСТ
Скачать ГОСТ в PDF или DOC бесплатно
Основная информация
Обозначение:
ГОСТ 23198-2021
Статус:
Действует
Тип:
ГОСТ
Название русское:
Источники света электрические. Методы измерений спектральных и цветовых характеристик
Название английское:
Electric light sources. Methods of measuring spectral and colour characteristics
Даты и сроки
Дата регистрации:
10-22-21
Дата издания:
11-22-21
Дата введения в действие:
03-01-22
Дата завершения срока действия:
-
Применение и описание
Область и условия применения:
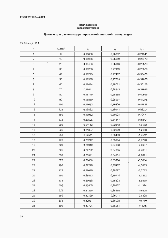
Настоящий стандарт распространяется на электрические источники света (ИС): лампы накаливания, разрядные лампы и светодиодные ИС, имеющие сплошной, линейчатый или смешанный спектры излучения, и устанавливает методы измерений спектральных и цветовых характеристик. Настоящий стандарт не распространяется на ИС, применяемые в качестве рабочих средств измерения (СИ), и лампы-фары. Допускается применять настоящий стандарт для определения характеристик ИС других типов, предназначенных для целей освещения. Настоящий стандарт устанавливает методы измерений для определения следующих спектральных характеристик ИС: - спектральной плотности энергетической яркости (СПЭЯ); - спектральной плотности энергетической освещенности (СПЭО); - спектральной плотности силы излучения (СПСИ); - спектральной плотности потока излучения (СППИ). Настоящий стандарт устанавливает методы измерений для определения следующих цветовых характеристик ИС: - координат цвета и координат цветности; - цветопередачи; - содержания красного излучения в спектре ртутных ламп высокого давления; - коррелированной цветовой температуры (КЦТ); - доминирующей длины волны; - условной чистоты цвета
Связи и замены
Заменяющий:
-
Описание стандарта
ГОСТ 23198-2021 Источники света электрические. Методы измерений спектральных и цветовых характеристик
Страницы стандарта



































