ГОСТ Р МЭК 60034-6-2012 Машины электрические вращающиеся. Часть 6. Методы охлаждения (Код IC)
ГОСТ Р МЭК
Скачать ГОСТ в PDF или DOC бесплатно
Основная информация
Обозначение:
ГОСТ Р МЭК 60034-6-2012
Статус:
Отменен
Тип:
ГОСТ Р МЭК
Название русское:
Машины электрические вращающиеся. Часть 6. Методы охлаждения (Код IC)
Название английское:
Rotating electrical machines. Part 6. Methods of cooling (IC Code)
Даты и сроки
Дата издания:
04-01-14
Дата введения в действие:
06-01-14
Дата завершения срока действия:
01-01-25
Применение и описание
Область и условия применения:
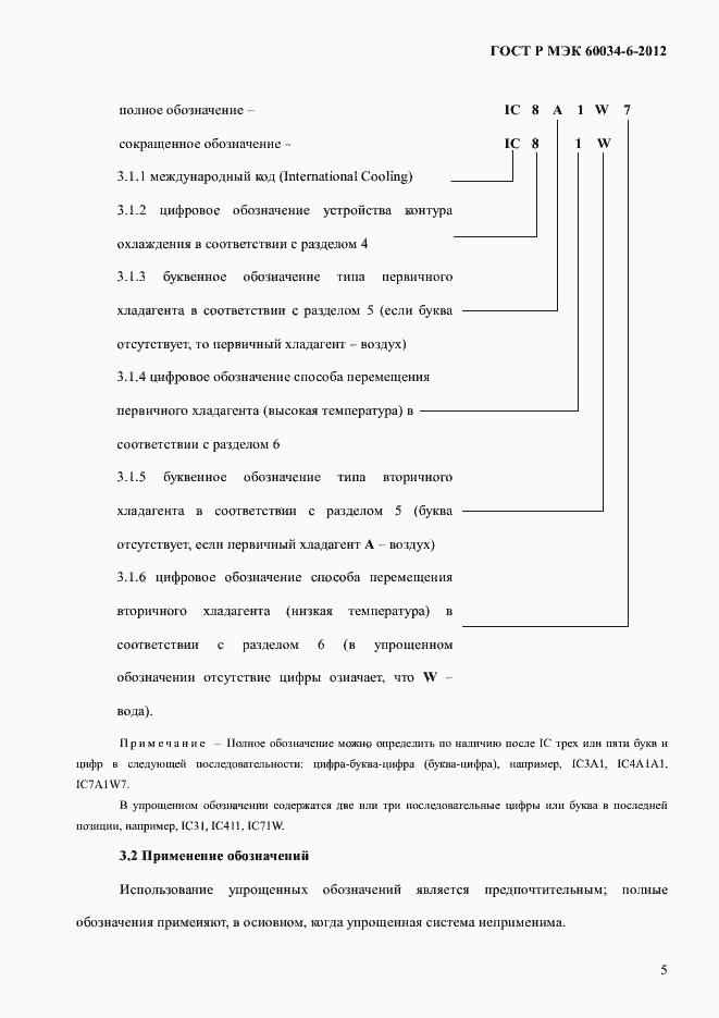
Объектом стандартизации являются компоновка системы охлаждения и методы перемещения хладагента во вращающихся электрических машинах, классификация методов охлаждения и применяемая система их обозначений. Обозначение метода охлаждения состоит из букв IC и последующих цифр и букв, обозначающих устройство контура охлаждения, тип хладагента и способ его перемещения. Применяется как полная, так и упрощенная система обозначений. Полная система применяется в случае, когда упрощенная система неприменима. Обе системы обозначений приведены в таблицах приложения А для наиболее часто используемых типов вращающихся машин вместе с эскизами для отдельных случаев
Связи и замены
Заменяющий:
-
Описание стандарта
ГОСТ Р МЭК 60034-6-2012 Машины электрические вращающиеся. Часть 6. Методы охлаждения (Код IC)
Страницы стандарта























