ГОСТ 7.81-2001 Система стандартов по информации, библиотечному и издательскому делу. Статистический учет выпуска непериодических, периодических и продолжающихся изданий. Основные положения
ГОСТ
Скачать ГОСТ в PDF или DOC бесплатно
Основная информация
Обозначение:
ГОСТ 7.81-2001
Статус:
Утратил силу в РФ
Тип:
ГОСТ
Название русское:
Система стандартов по информации, библиотечному и издательскому делу. Статистический учет выпуска непериодических, периодических и продолжающихся изданий. Основные положения
Название английское:
System of standards on information, librarianship and publishing. Statistical registration of non-periodical and periodical publications. Main foundations
Даты и сроки
Дата регистрации:
05-22-01
Дата издания:
10-17-01
Дата введения в действие:
07-01-02
Дата завершения срока действия:
03-01-25
Применение и описание
Область и условия применения:
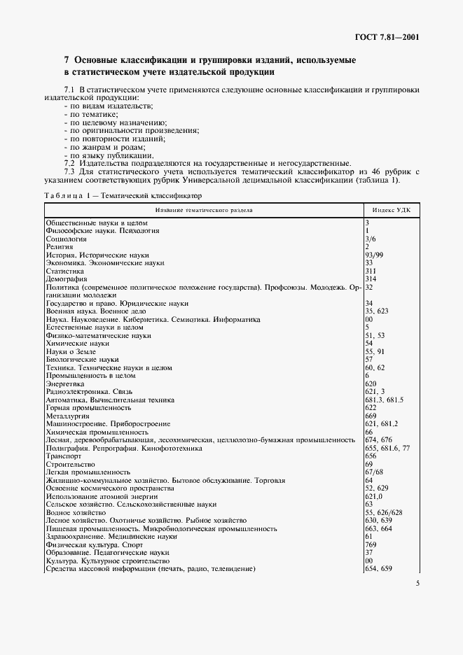
Настоящий стандарт устанавливает основные положения статистического учета выпуска непереодических, периодических и продолжающихся изданий. Стандарт предназначен для организаций, занимающихся сбором, обработкой и публикацией статистических сведений об издательской продукции, выпущенной на территории СНГ
Связи и замены
Заменяющий:
-
Описание стандарта
ГОСТ 7.81-2001 Система стандартов по информации, библиотечному и издательскому делу. Статистический учет выпуска непериодических, периодических и продолжающихся изданий. Основные положения
Страницы стандарта










