ГОСТ Р МЭК 62620-2016 Аккумуляторы и аккумуляторные батареи, содержащие щелочной или другие некислотные электролиты. Аккумуляторы и батареи литиевые для промышленных применений
ГОСТ Р МЭК
Скачать ГОСТ в PDF или DOC бесплатно
Основная информация
Обозначение:
ГОСТ Р МЭК 62620-2016
Статус:
Действует
Тип:
ГОСТ Р МЭК
Название русское:
Аккумуляторы и аккумуляторные батареи, содержащие щелочной или другие некислотные электролиты. Аккумуляторы и батареи литиевые для промышленных применений
Название английское:
Secondary cells and batteries containing alkaline or other non-acid electrolytes. Secondary lithium cells and batteries for use in industrial applications
Даты и сроки
Дата издания:
11-07-16
Дата введения в действие:
01-01-17
Дата завершения срока действия:
-
Применение и описание
Область и условия применения:
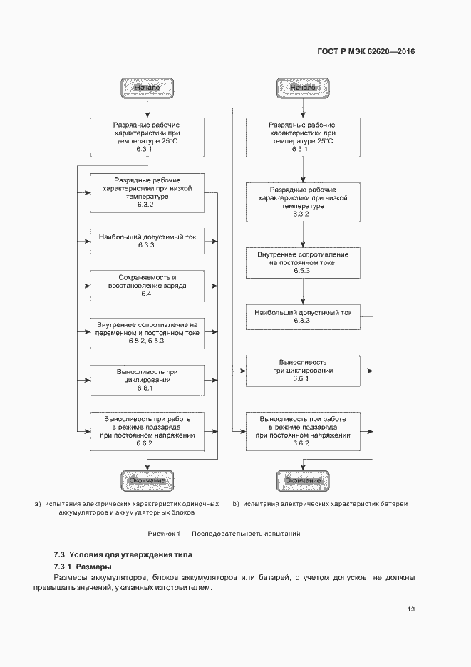
Настоящий стандарт устанавливает требования к маркировке и методам испытаний для литиевых аккумуляторов и батарей, используемых в промышленных приложениях, включая стационарные применения. При наличии стандарта МЭК, устанавливающего требования и методы испытаний к литиевым аккумуляторам и батареям, используемым в специальных применениях, и находящегося в противоречии с требованиями настоящего стандарта, он имеет приоритет (например, серия стандартов МЭК 62660 для дорожных транспортных средств). Стандарт применим как к аккумуляторам, так и к батареям. Если батареи можно разделить на более мелкие батареи, то последние могут быть испытаны в качестве представителя батареи. Изготовитель должен четко продекларировать образец, предоставленный на испытания. К испытуемой батарее изготовитель может добавить функции, которые батарея имеет в окончательном виде
Связи и замены
Заменяющий:
-
Описание стандарта
ГОСТ Р МЭК 62620-2016 Аккумуляторы и аккумуляторные батареи, содержащие щелочной или другие некислотные электролиты. Аккумуляторы и батареи литиевые для промышленных применений
Страницы стандарта






















