ГОСТ Р МЭК 61427-2-2016 Аккумуляторы и аккумуляторные батареи для возобновляемых источников энергии. Общие требования и методы испытаний. Часть 2. Сетевое применение
ГОСТ Р МЭК
Скачать ГОСТ в PDF или DOC бесплатно
Основная информация
Обозначение:
ГОСТ Р МЭК 61427-2-2016
Статус:
Действует
Тип:
ГОСТ Р МЭК
Название русское:
Аккумуляторы и аккумуляторные батареи для возобновляемых источников энергии. Общие требования и методы испытаний. Часть 2. Сетевое применение
Название английское:
Secondary cells and batteries for renewable energy storage. General requirements and methods of test. Part 2. On-grid applications
Даты и сроки
Дата издания:
11-12-16
Дата введения в действие:
01-01-17
Дата завершения срока действия:
-
Применение и описание
Область и условия применения:
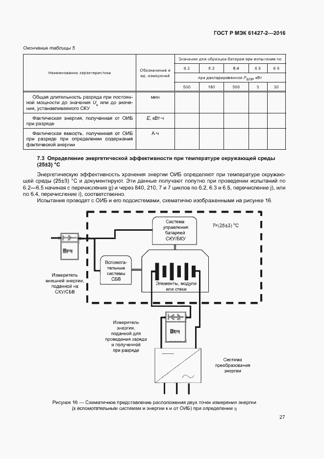
Настоящий стандарт распространяется на аккумуляторы и аккумуляторные батареи, используемые в приложениях систем хранения электрической энергии (СХЭЭ), эксплуатируемых в сети, и содержит методы испытаний для проверки их рабочих характеристик, выносливости и других свойств. Поскольку методы испытаний не зависят от электрохимической системы, настоящий стандарт распространяется на все типы аккумуляторов и аккумуляторных батарей сетевого применения. Сетевое применение характеризуется тем, что батареи подключены через устройства преобразования энергии к региональной, государственной или общеконтинентальной электросети и выступают в качестве мгновенных источников и потребителей энергии для стабилизации параметров сети при неожиданной подаче большого количества электрической энергии от возобновляемых источников энергии. Настоящий стандарт не распространяется на устройства преобразования энергии и устройства, обеспечивающие взаимосвязь с другим оборудованием
Связи и замены
Заменяющий:
-
Описание стандарта
ГОСТ Р МЭК 61427-2-2016 Аккумуляторы и аккумуляторные батареи для возобновляемых источников энергии. Общие требования и методы испытаний. Часть 2. Сетевое применение
Страницы стандарта











































