ГОСТ 31214-2003 Изделия медицинские. Требования к образцам и документации, представляемым на токсикологические, санитарно-химические испытания, испытания на стерильность и пирогенность
ГОСТ
Скачать ГОСТ в PDF или DOC бесплатно
Основная информация
Обозначение:
ГОСТ 31214-2003
Статус:
Заменен
Тип:
ГОСТ
Название русское:
Изделия медицинские. Требования к образцам и документации, представляемым на токсикологические, санитарно-химические испытания, испытания на стерильность и пирогенность
Название английское:
Medical devices. Requirements for samples and documentation presented for toxicological tests, sanitary and chemical analyses, tests for sterility and pyrogenicity
Даты и сроки
Дата регистрации:
12-05-03
Дата издания:
02-18-14
Дата введения в действие:
01-01-15
Дата завершения срока действия:
10-01-17
Применение и описание
Область и условия применения:
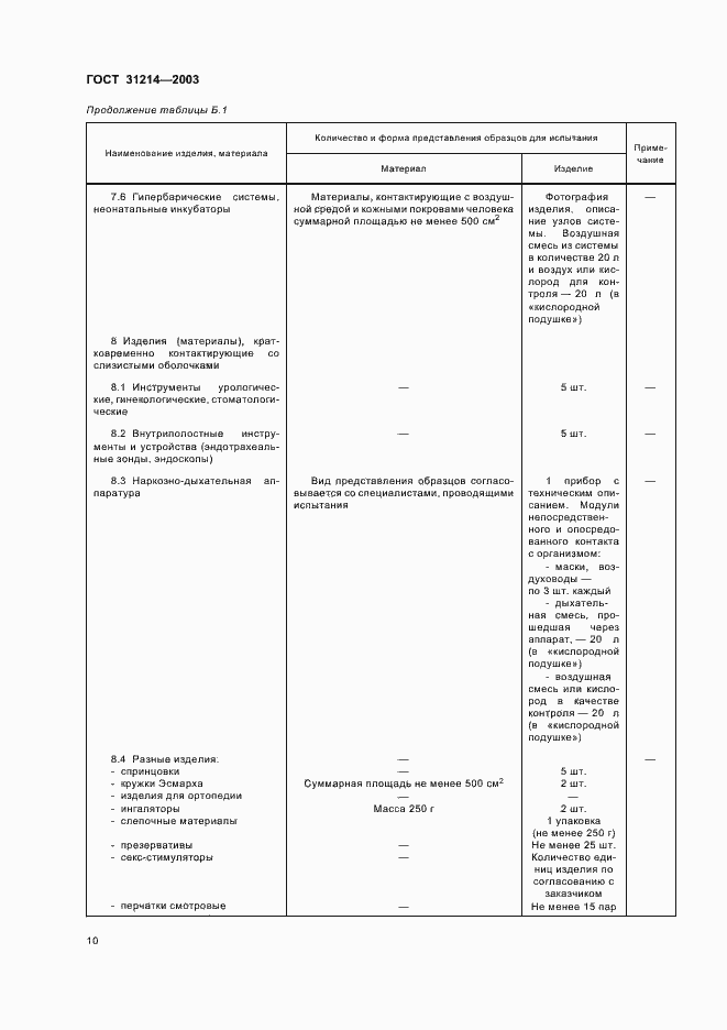
Настоящий стандарт устанавливает требования к документации и образцам медицинских изделий (материалам), представляемым организациями и учреждениями на токсикологические, санитарно-химические испытания, испытания на стерильность и пирогенность (далее - испытания). Испытаниям подлежат: - материалы отечественного и зарубежного производства, предполагаемые к применению в медицинских изделиях (на этапе, предшествующем разработке изделия); - вновь разработанные или впервые поставляемые в Россию медицинские изделия, в том числе изготовленные из материалов, применяемых ранее в аналогичных или других медицинских изделиях; - медицинские изделия, вошедшие в номенклатуру продукции, подлежащей обязательной сертификации
Связи и замены
Заменяющий:
ГОСТ 31214-2016
Описание стандарта
ГОСТ 31214-2003 Изделия медицинские. Требования к образцам и документации, представляемым на токсикологические, санитарно-химические испытания, испытания на стерильность и пирогенность
Страницы стандарта


















